Официальное опубликование правовых актов
ОФИЦИАЛЬНОЕ ОПУБЛИКОВАНИЕ
Постановление Главного управления архитектуры и градостроительства Рязанской области от 03.12.2024 № 696-п
"Об утверждении изменений в генеральный план муниципального образования – Мурминское сельское поселение Рязанского муниципального района Рязанской области"
(Зарегистрирован 03.12.2024 № 1359)
Номер опубликования: 6201202412050006
Дата опубликования: 05.12.2024
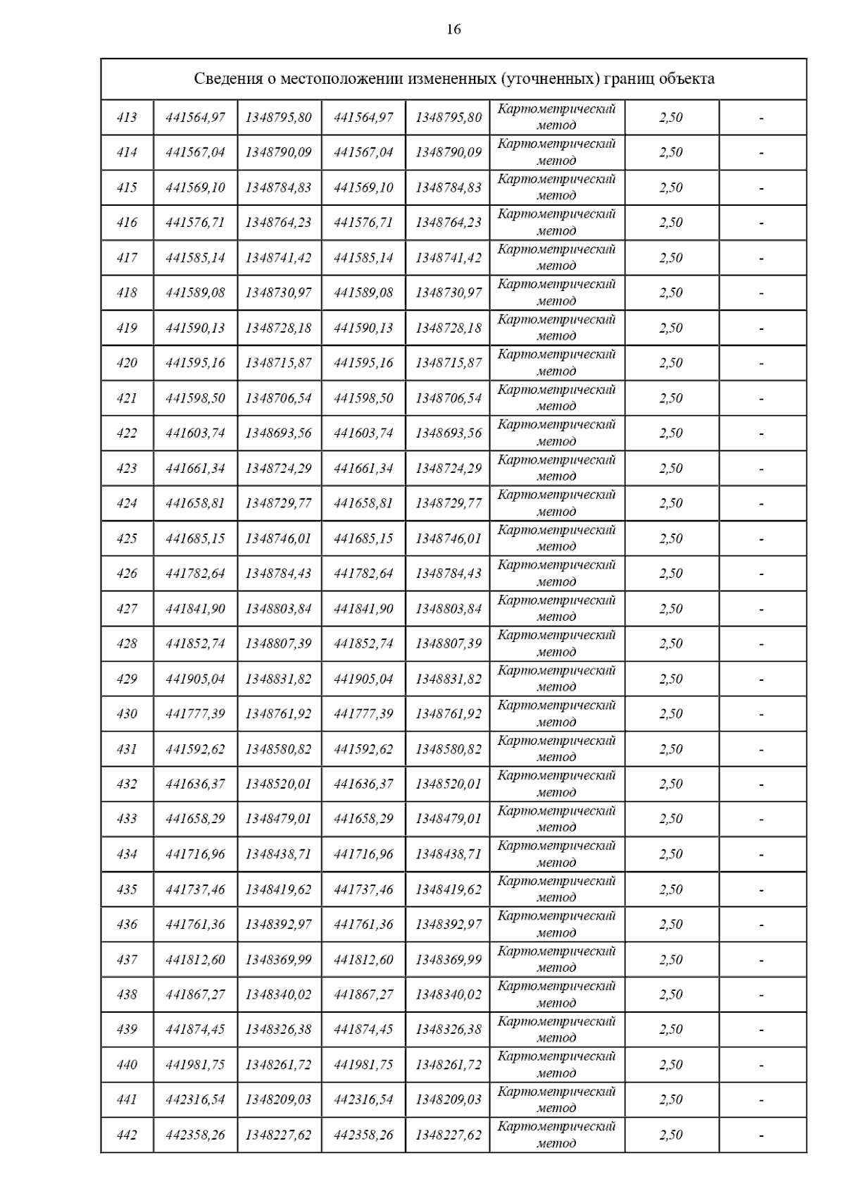
Страница №21 из 29:
Увеличить