Официальное опубликование правовых актов
ОФИЦИАЛЬНОЕ ОПУБЛИКОВАНИЕ
Постановление Главного управления архитектуры и градостроительства Рязанской области от 19.11.2024 № 671-п
"Об утверждении генерального плана муниципального образования – Большекоровинское сельское поселение Захаровского муниципального района Рязанской области"
(Зарегистрирован 20.11.2024 № 1224)
Номер опубликования: 6201202411220015
Дата опубликования: 22.11.2024
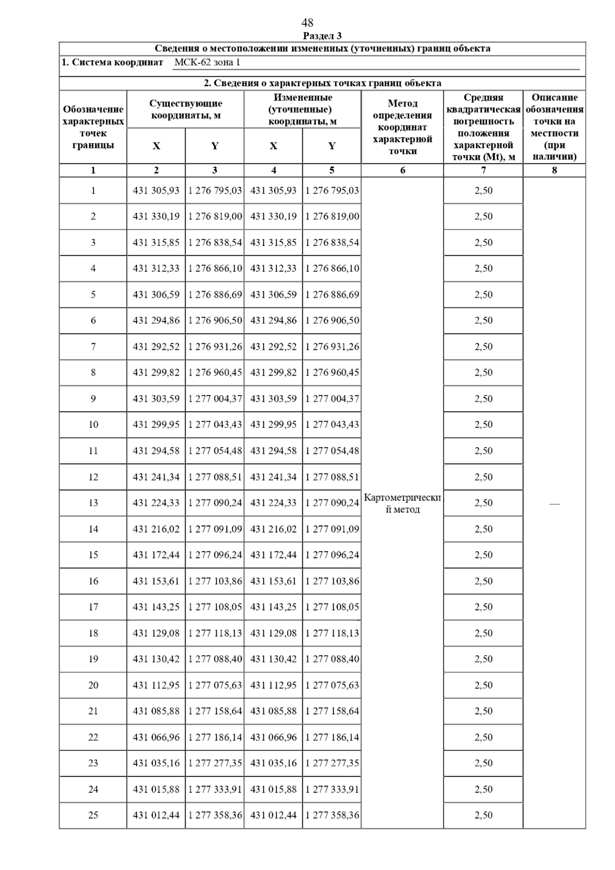
Страница №58 из 92:
Увеличить