Официальное опубликование правовых актов
ОФИЦИАЛЬНОЕ ОПУБЛИКОВАНИЕ
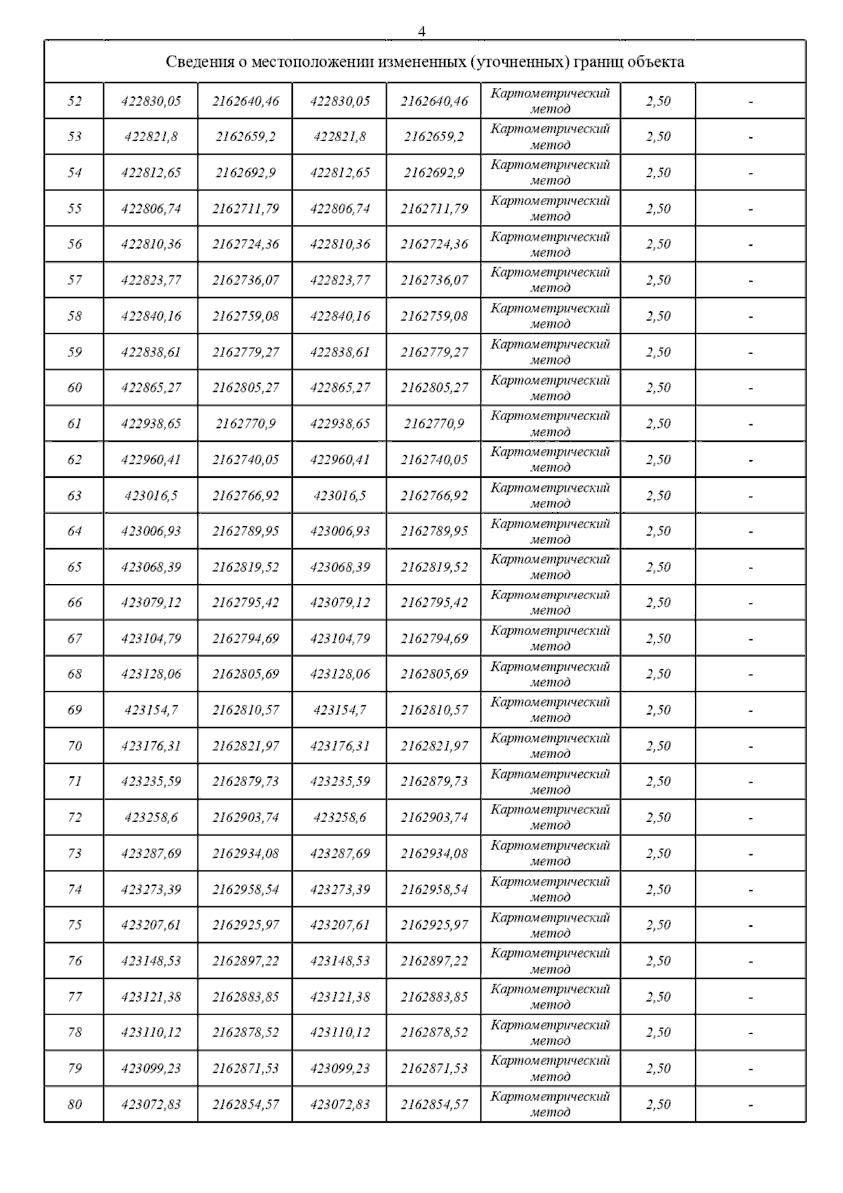
Постановление Главного управления архитектуры и градостроительства Рязанской области от 19.11.2024 № 673-п
"Об утверждении изменений в правила землепользования и застройки муниципального образования - Собчаковское сельское поселение Спасского муниципального района Рязанской области"
(Зарегистрирован 20.11.2024 № 1226)
Номер опубликования: 6201202411220013
Дата опубликования: 22.11.2024
Страница №6 из 15:
Увеличить