Официальное опубликование правовых актов
ОФИЦИАЛЬНОЕ ОПУБЛИКОВАНИЕ
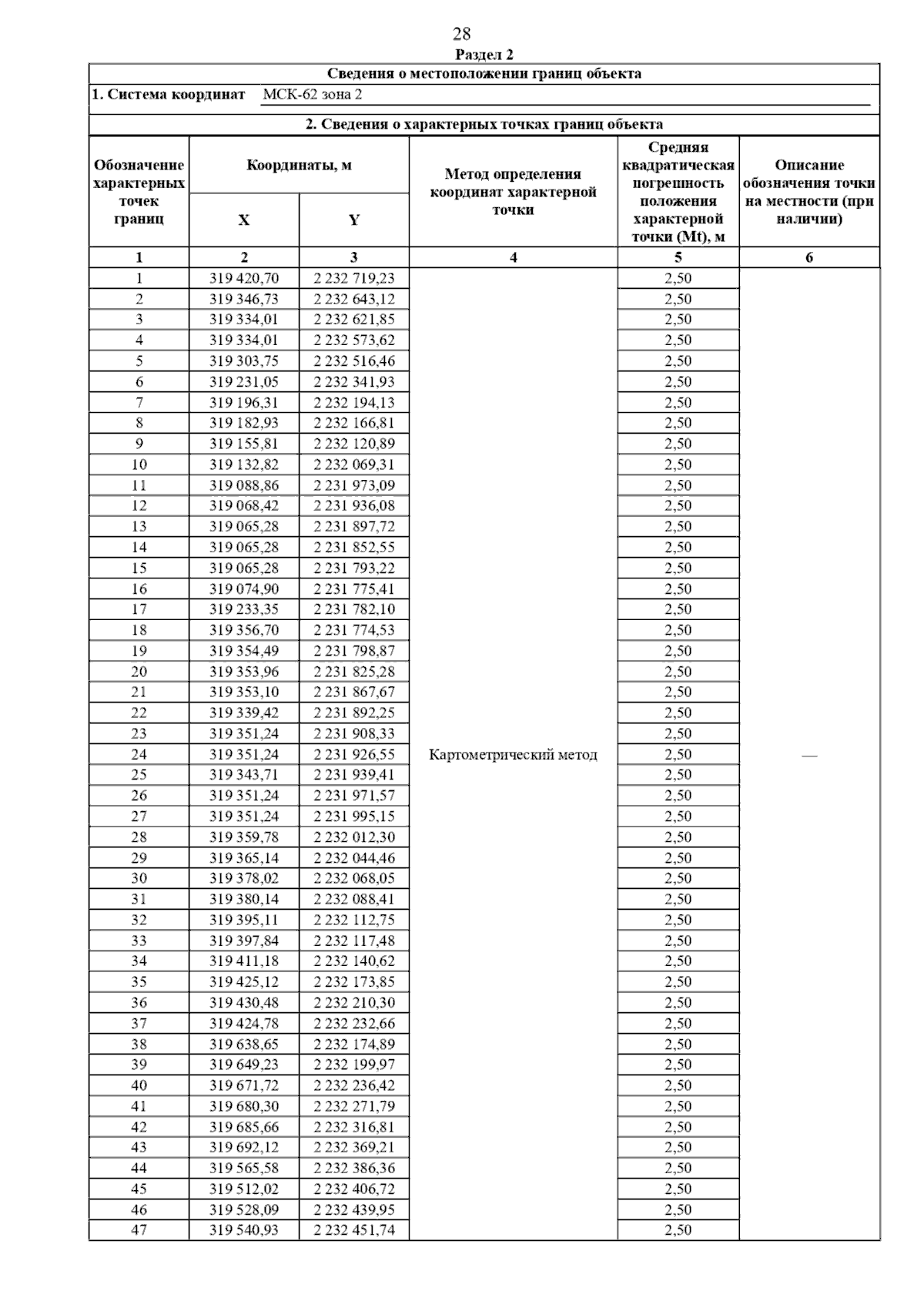
Постановление Главного управления архитектуры и градостроительства Рязанской области от 19.11.2024 № 670-п
"Об утверждении правил землепользования и застройки муниципального образования – Алексеевское сельское поселение Сараевского муниципального района Рязанской области"
(Зарегистрирован 20.11.2024 № 1223)
Номер опубликования: 6201202411220010
Дата опубликования: 22.11.2024
Страница №54 из 93:
Увеличить