Официальное опубликование правовых актов
ОФИЦИАЛЬНОЕ ОПУБЛИКОВАНИЕ
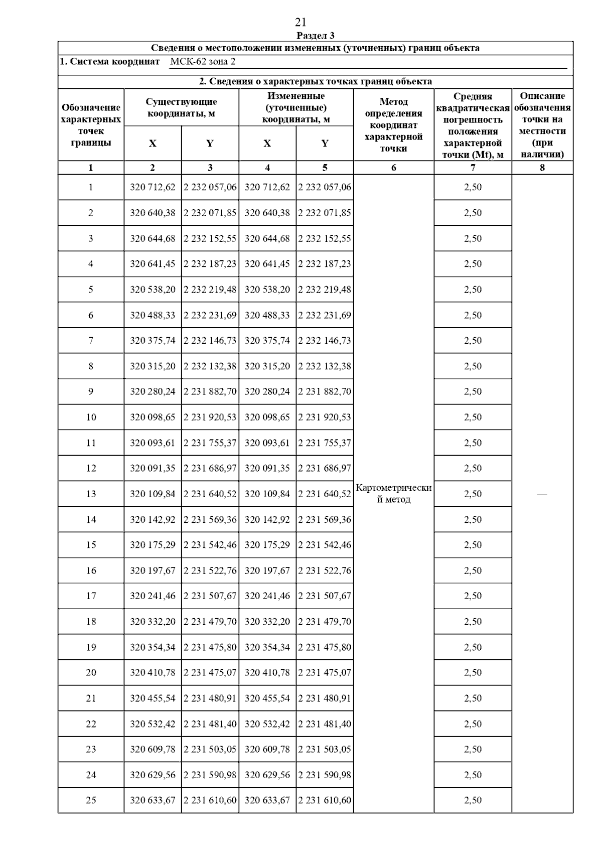
Постановление Главного управления архитектуры и градостроительства Рязанской области от 19.11.2024 № 669-п
"Об утверждении генерального плана муниципального образования – Алексеевское сельское поселение Сараевского муниципального района Рязанской области"
(Зарегистрирован 20.11.2024 № 1222)
Номер опубликования: 6201202411220004
Дата опубликования: 22.11.2024
Страница №31 из 80:
Увеличить