Официальное опубликование правовых актов
ОФИЦИАЛЬНОЕ ОПУБЛИКОВАНИЕ
Постановление Главного управления архитектуры и градостроительства Рязанской области от 14.11.2024 № 656-п
"Об утверждении генерального плана муниципального образования – Желанновское сельское поселение Шацкого муниципального района Рязанской области"
(Зарегистрирован 15.11.2024 № 1190)
Номер опубликования: 6201202411190005
Дата опубликования: 19.11.2024
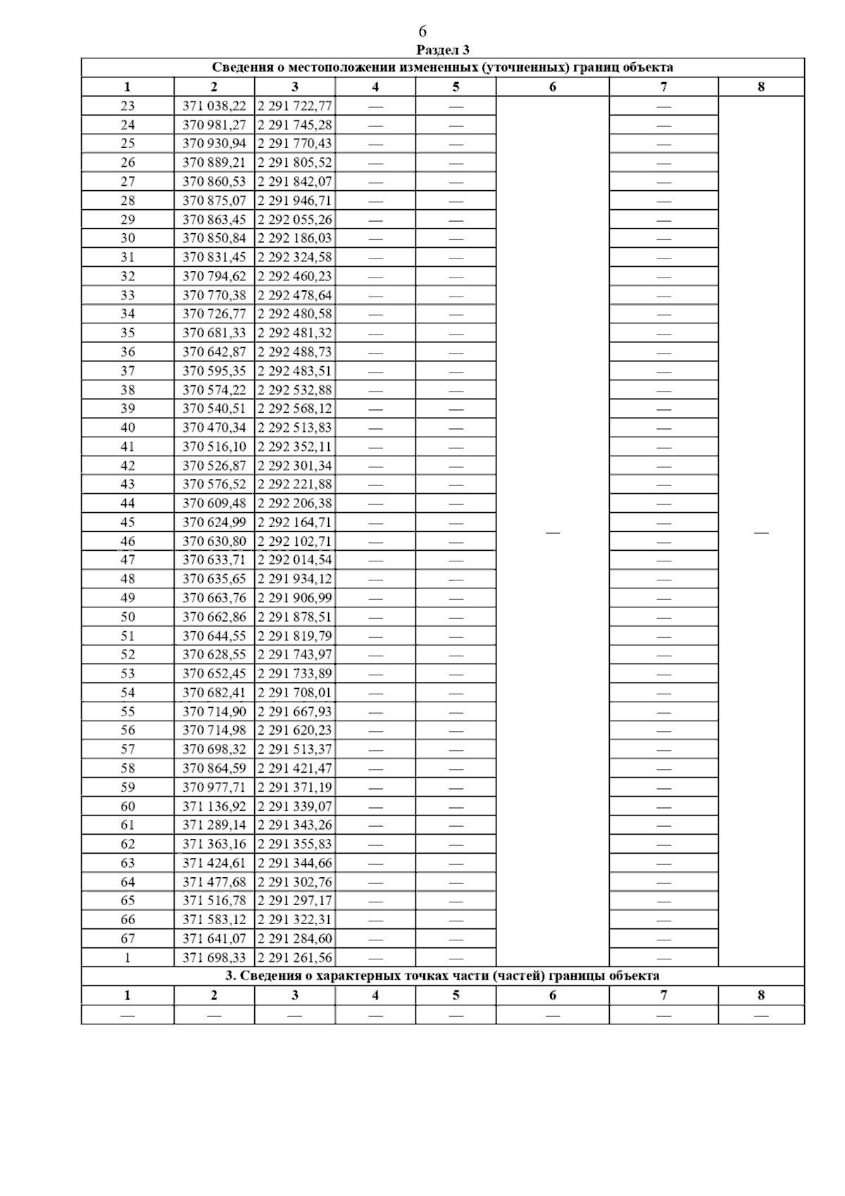
Страница №15 из 38:
Увеличить