Официальное опубликование правовых актов
ОФИЦИАЛЬНОЕ ОПУБЛИКОВАНИЕ
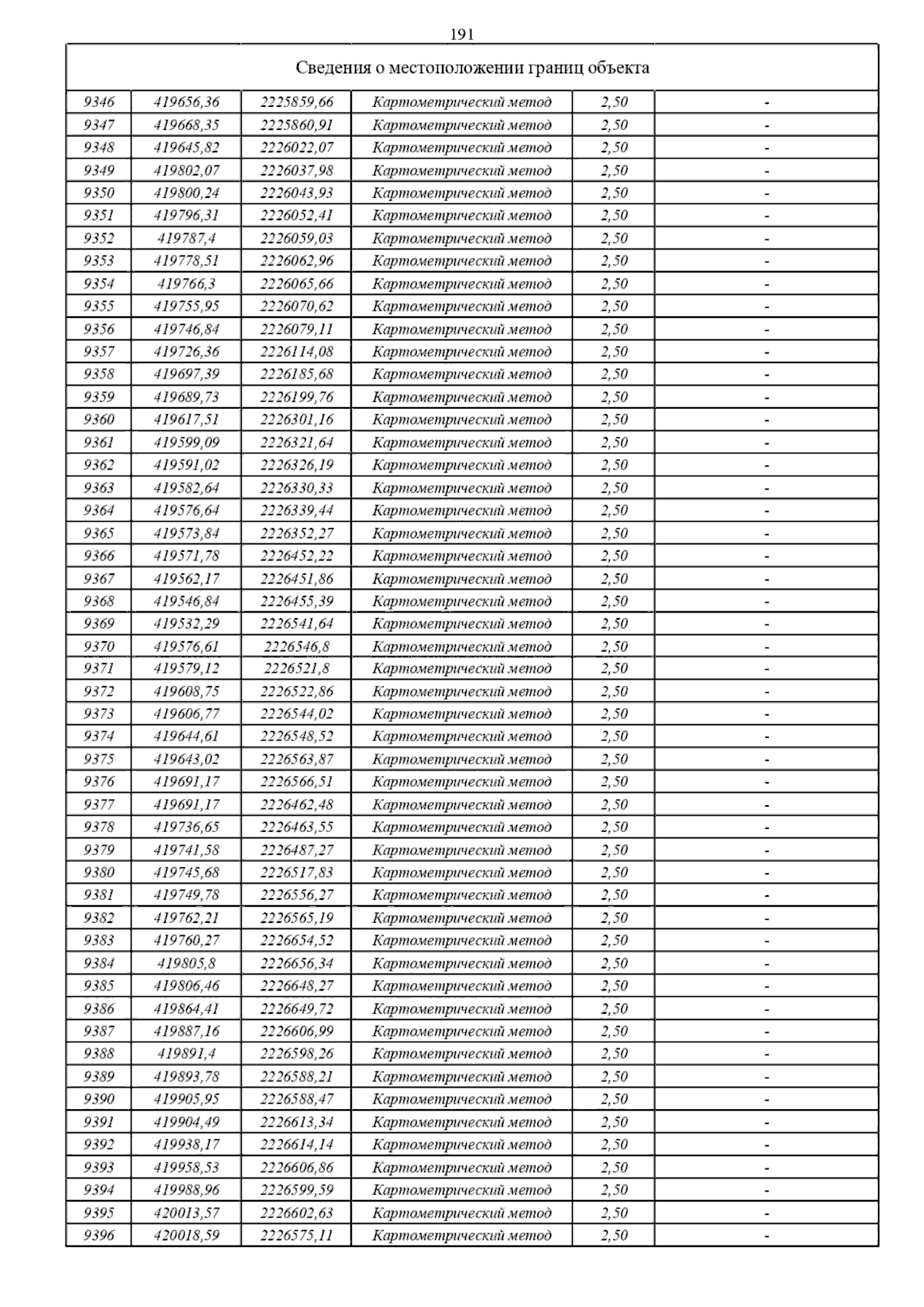
Постановление Главного управления архитектуры и градостроительства Рязанской области от 05.11.2024 № 634-п
"Об утверждении изменений в правила землепользования и застройки муниципального образования – Инякинское сельское поселение Шиловского муниципального района Рязанской области"
(Зарегистрирован 06.11.2024 № 1098)
Номер опубликования: 6201202411120010
Дата опубликования: 12.11.2024
Страница №193 из 316:
Увеличить