Официальное опубликование правовых актов
ОФИЦИАЛЬНОЕ ОПУБЛИКОВАНИЕ
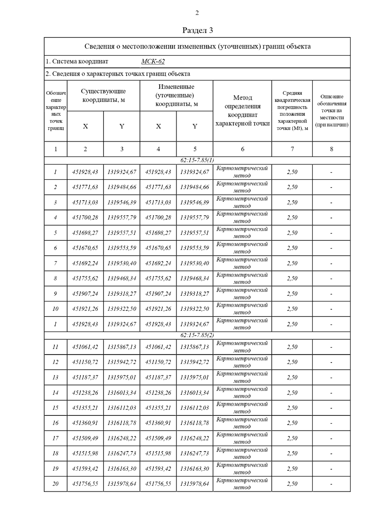
Постановление Главного управления архитектуры и градостроительства Рязанской области от 29.10.2024 № 615-п
"Об утверждении изменений в правила землепользования и застройки муниципального образования - Тюшевское сельское поселение Рязанского муниципального района Рязанской области"
(Зарегистрирован 30.10.2024 № 1073)
Номер опубликования: 6201202411020006
Дата опубликования: 02.11.2024
Страница №5 из 19:
Увеличить