Официальное опубликование правовых актов
ОФИЦИАЛЬНОЕ ОПУБЛИКОВАНИЕ
Постановление Главного управления архитектуры и градостроительства Рязанской области от 18.10.2024 № 576-п
"Об утверждении изменений в правила землепользования и застройки муниципального образования - городской округ город Касимов Рязанской области"
(Зарегистрирован 18.10.2024 № 1020)
Номер опубликования: 6201202410230010
Дата опубликования: 23.10.2024
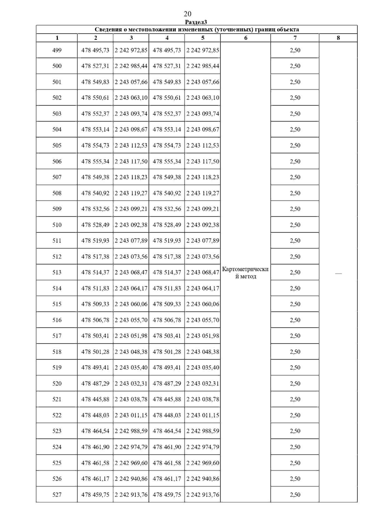
Страница №183 из 205:
Увеличить