Официальное опубликование правовых актов
ОФИЦИАЛЬНОЕ ОПУБЛИКОВАНИЕ
Постановление Главного управления архитектуры и градостроительства Рязанской области от 01.10.2024 № 517-п
"Об утверждении изменений в правила землепользования и застройки муниципального образования – Лесновское городское поселение Шиловского муниципального района Рязанской области"
(Зарегистрирован 02.10.2024 № 928)
Номер опубликования: 6201202410040015
Дата опубликования: 04.10.2024
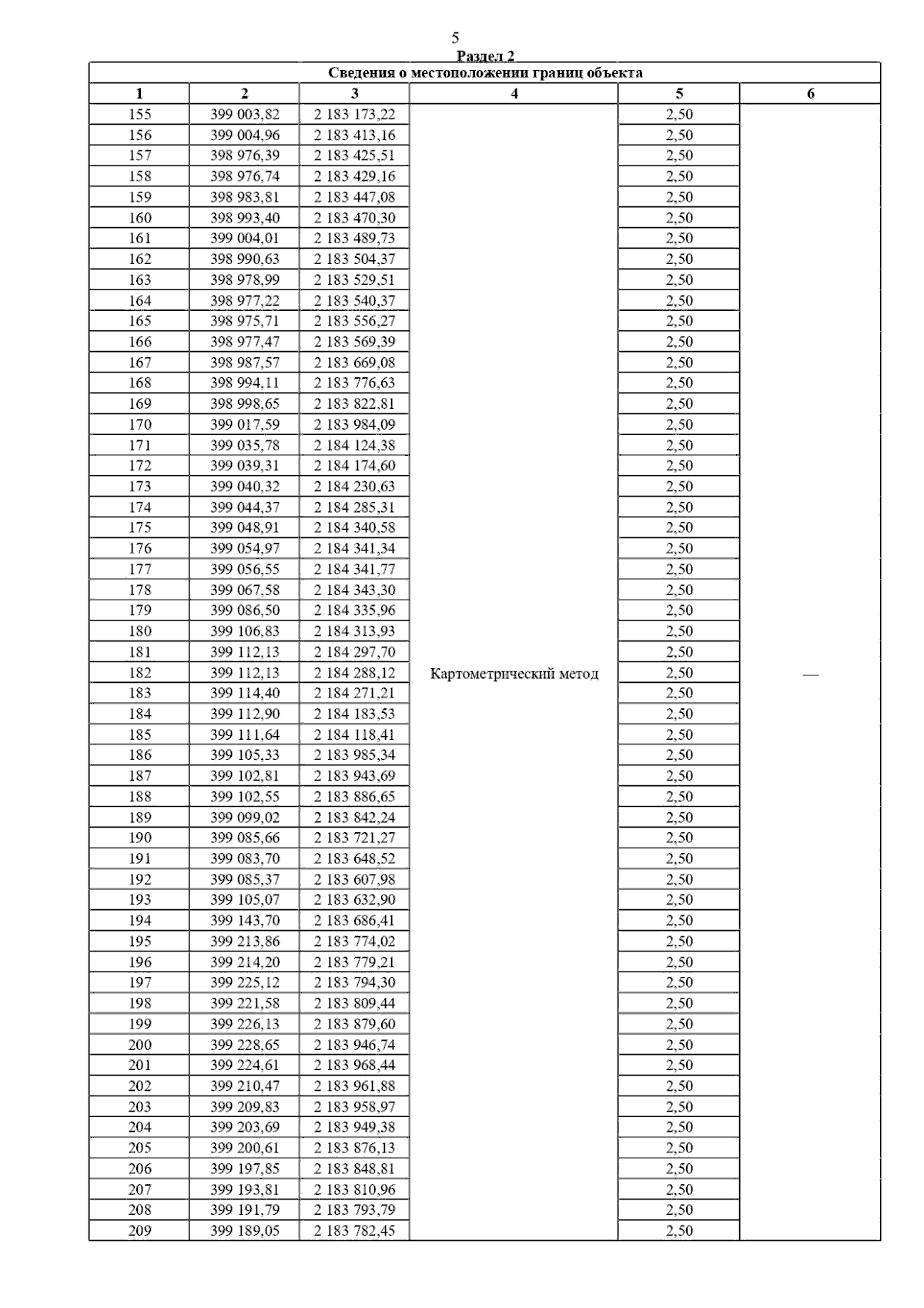
Страница №21 из 126:
Увеличить