Официальное опубликование правовых актов
ОФИЦИАЛЬНОЕ ОПУБЛИКОВАНИЕ
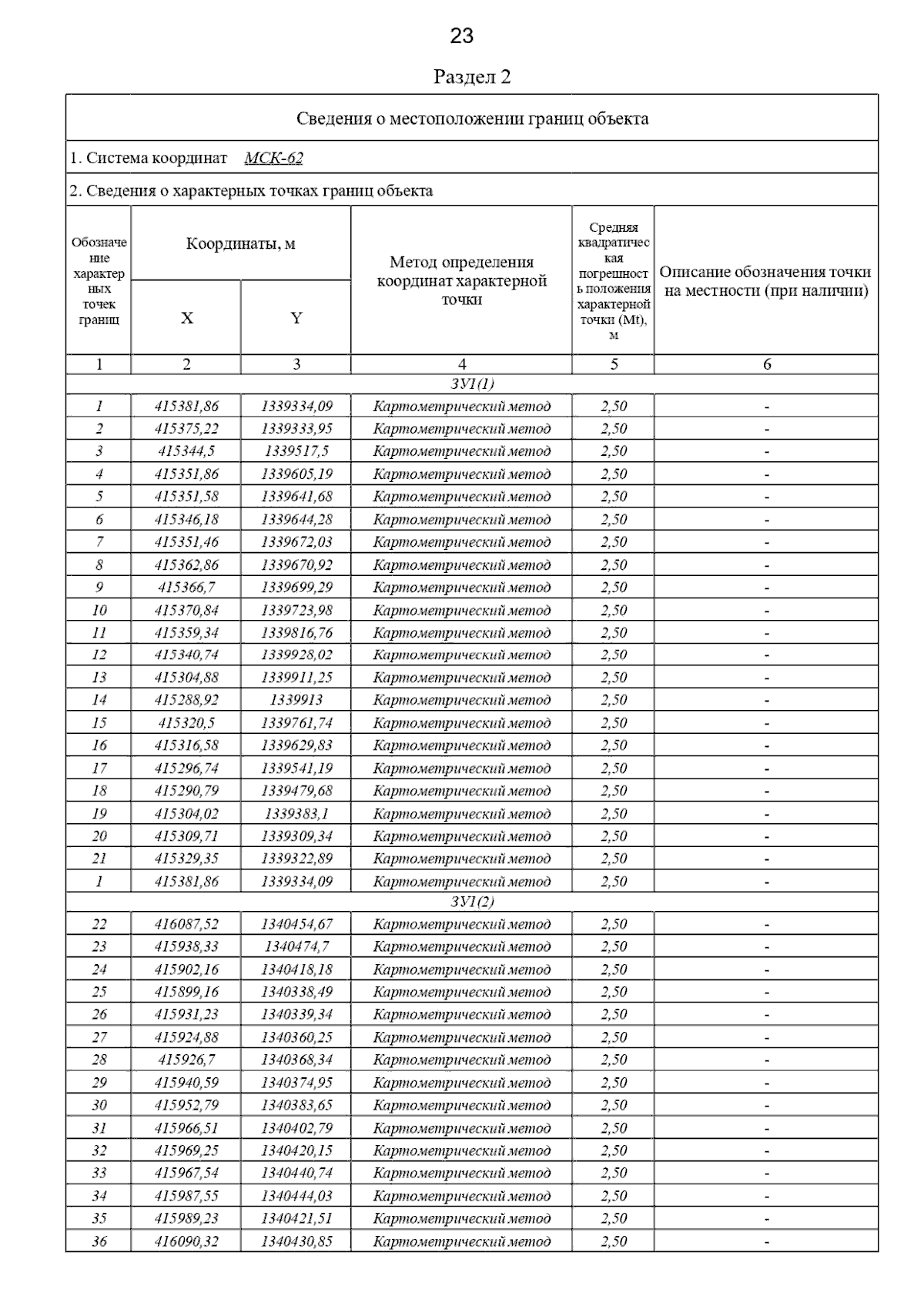
Постановление Главного управления архитектуры и градостроительства Рязанской области от 30.09.2024 № 514-п
"Об утверждении изменений в правила землепользования и застройки муниципального образования – Искровское сельское поселение Рязанского муниципального района Рязанской области"
(Зарегистрирован 01.10.2024 № 910)
Номер опубликования: 6201202410040009
Дата опубликования: 04.10.2024
Страница №101 из 117:
Увеличить