Официальное опубликование правовых актов
ОФИЦИАЛЬНОЕ ОПУБЛИКОВАНИЕ
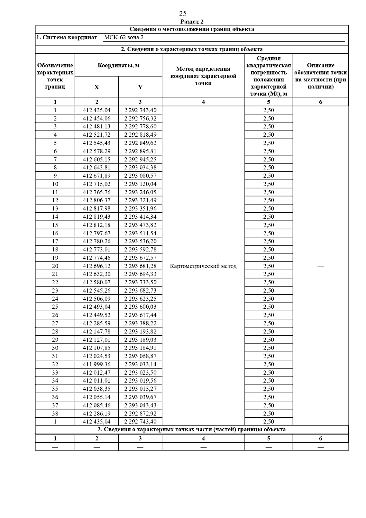
Постановление Главного управления архитектуры и градостроительства Рязанской области от 26.09.2024 № 508-п
"Об утверждении правил землепользования и застройки муниципального образования – Сасовский муниципальный округ Рязанской области применительно к территории Поляки-Майдановского сельского округа Сасовского района Рязанской области"
(Зарегистрирован 30.09.2024 № 900)
Номер опубликования: 6201202410020003
Дата опубликования: 02.10.2024
Страница №61 из 122:
Увеличить