Официальное опубликование правовых актов
ОФИЦИАЛЬНОЕ ОПУБЛИКОВАНИЕ
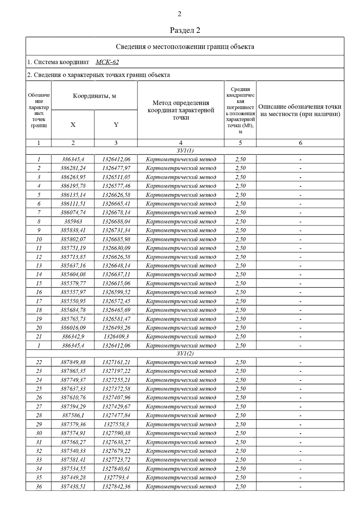
Постановление Главного управления архитектуры и градостроительства Рязанской области от 25.09.2024 № 499-п
"Об утверждении изменений в генеральный план муниципального образования – Пронское городское поселение Пронского муниципального района Рязанской области"
(Зарегистрирован 26.09.2024 № 891)
Номер опубликования: 6201202410010005
Дата опубликования: 01.10.2024
Страница №4 из 15:
Увеличить