Официальное опубликование правовых актов
ОФИЦИАЛЬНОЕ ОПУБЛИКОВАНИЕ
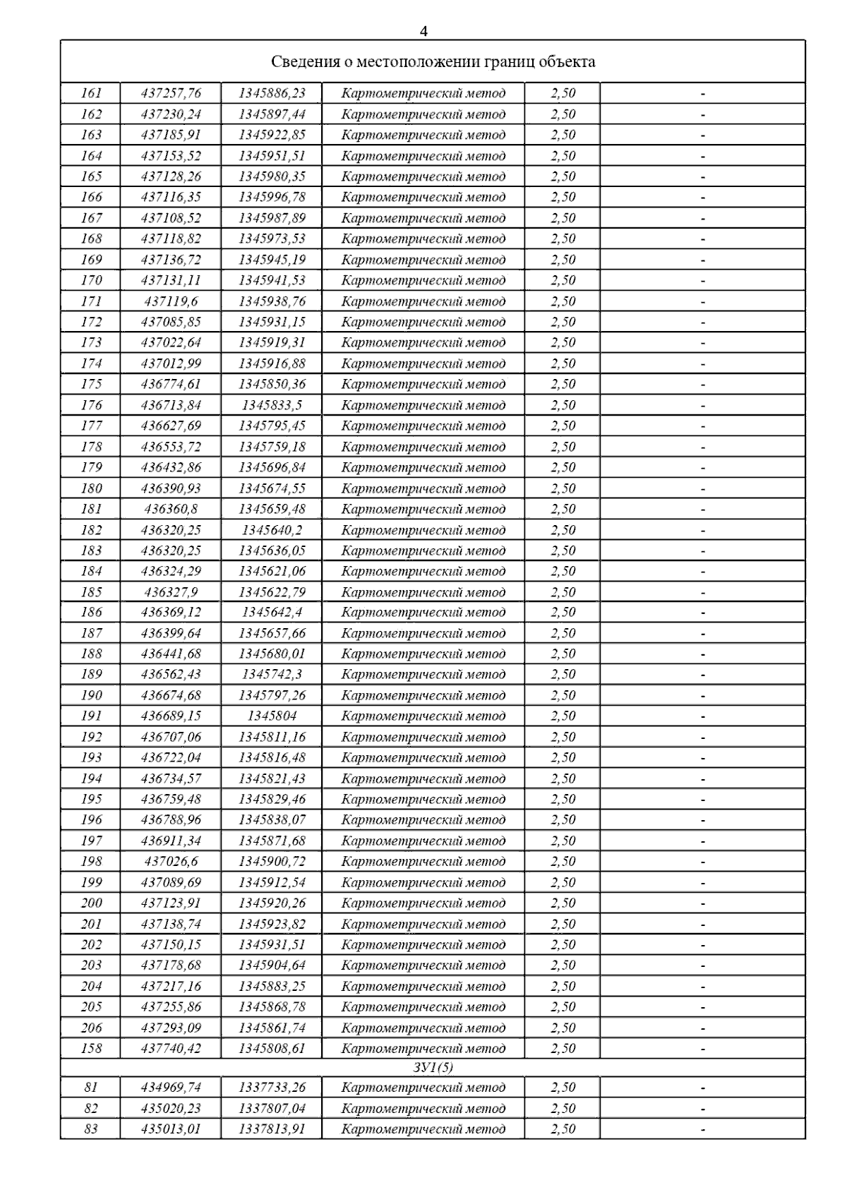
Постановление Главного управления архитектуры и градостроительства Рязанской области от 02.09.2024 № 459-п
"Об утверждении изменений в правила землепользования и застройки муниципального образования – Льговское сельское поселение Рязанского муниципального района Рязанской области"
(Зарегистрирован 03.09.2024 № 831)
Номер опубликования: 6201202409050002
Дата опубликования: 05.09.2024
Страница №6 из 8:
Увеличить