Официальное опубликование правовых актов
ОФИЦИАЛЬНОЕ ОПУБЛИКОВАНИЕ
Постановление Главного управления архитектуры и градостроительства Рязанской области от 28.08.2024 № 449-п
"Об утверждении генерального плана муниципального образования – Ряжский муниципальный округ Рязанской области применительно к территории Дегтянского сельского округа Ряжского района Рязанской области"
(Зарегистрирован 29.08.2024 № 813)
Номер опубликования: 6201202409020011
Дата опубликования: 02.09.2024
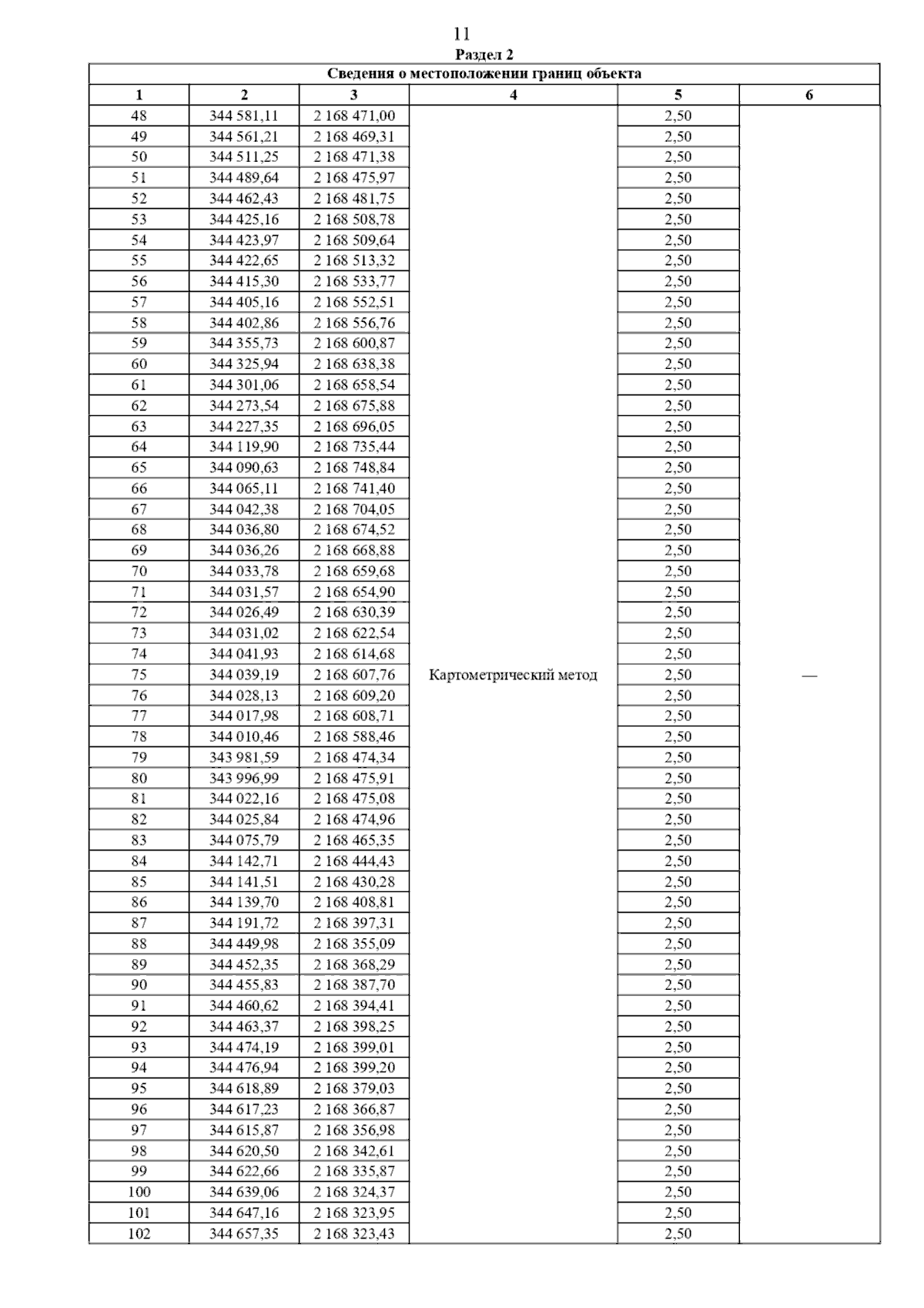
Страница №23 из 42:
Увеличить