Официальное опубликование правовых актов
ОФИЦИАЛЬНОЕ ОПУБЛИКОВАНИЕ
Постановление Главного управления архитектуры и градостроительства Рязанской области от 30.07.2024 № 366-п
"Об утверждении изменений в правила землепользования и застройки муниципального образования – Рыбновское городское поселение Рыбновского муниципального района Рязанской области"
(Зарегистрирован 31.07.2024 № 683)
Номер опубликования: 6201202408020005
Дата опубликования: 02.08.2024
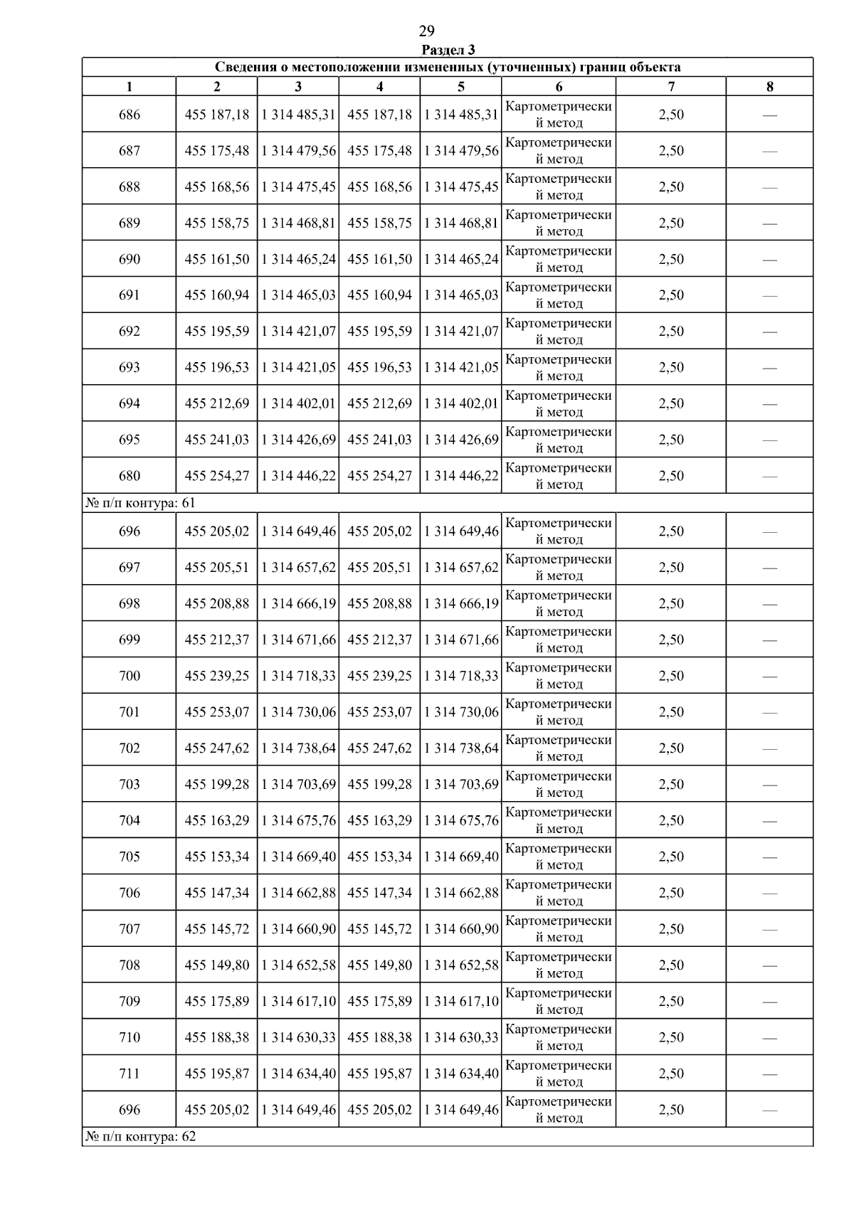
Страница №192 из 243:
Увеличить