Официальное опубликование правовых актов
ОФИЦИАЛЬНОЕ ОПУБЛИКОВАНИЕ
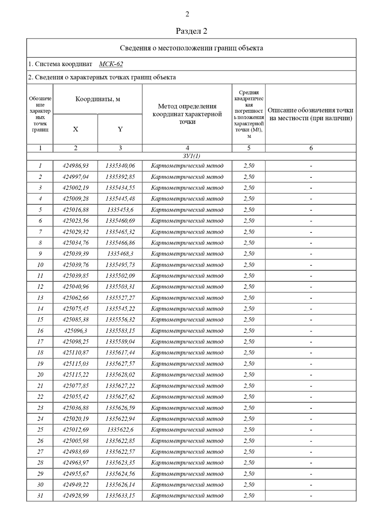
Постановление Главного управления архитектуры и градостроительства Рязанской области от 28.06.2024 № 316-п
"Об утверждении изменений в правила землепользования и застройки муниципального образования – Окское сельское поселение Рязанского муниципального района Рязанской области"
(Зарегистрирован 01.07.2024 № 604)
Номер опубликования: 6201202407030003
Дата опубликования: 03.07.2024
Страница №4 из 12:
Увеличить