Официальное опубликование правовых актов
ОФИЦИАЛЬНОЕ ОПУБЛИКОВАНИЕ
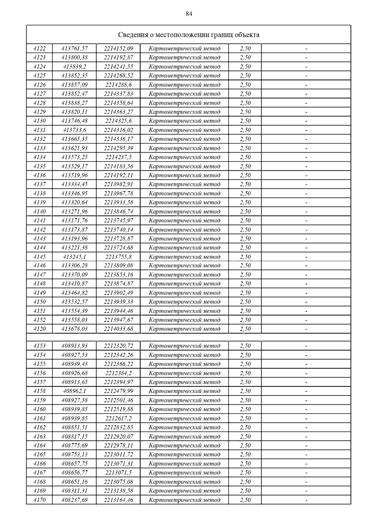
Постановление Главного управления архитектуры и градостроительства Рязанской области от 25.06.2024 № 298-п
"Об утверждении изменений в правила землепользования и застройки муниципального образования – Шиловское городское поселение Шиловского муниципального района Рязанской области"
(Зарегистрирован 26.06.2024 № 584)
Номер опубликования: 6201202406280001
Дата опубликования: 28.06.2024
Страница №94 из 118:
Увеличить