Официальное опубликование правовых актов
ОФИЦИАЛЬНОЕ ОПУБЛИКОВАНИЕ
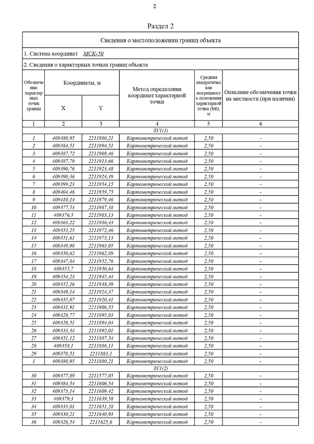
Постановление Главного управления архитектуры и градостроительства Рязанской области от 06.06.2024 № 261-п
"Об утверждении изменений в правила землепользования и застройки муниципального образования – Шиловское городское поселение Шиловского муниципального района Рязанской области"
(Зарегистрирован 07.06.2024 № 514)
Номер опубликования: 6201202406140010
Дата опубликования: 14.06.2024
Страница №50 из 99:
Увеличить