Официальное опубликование правовых актов
ОФИЦИАЛЬНОЕ ОПУБЛИКОВАНИЕ
Постановление Главного управления архитектуры и градостроительства Рязанской области от 07.06.2024 № 263-п
"Об утверждении изменений в правила землепользования и застройки муниципального образования – Пронское городское поселение Пронского муниципального района Рязанской области"
(Зарегистрирован 07.06.2024 № 516)
Номер опубликования: 6201202406140008
Дата опубликования: 14.06.2024
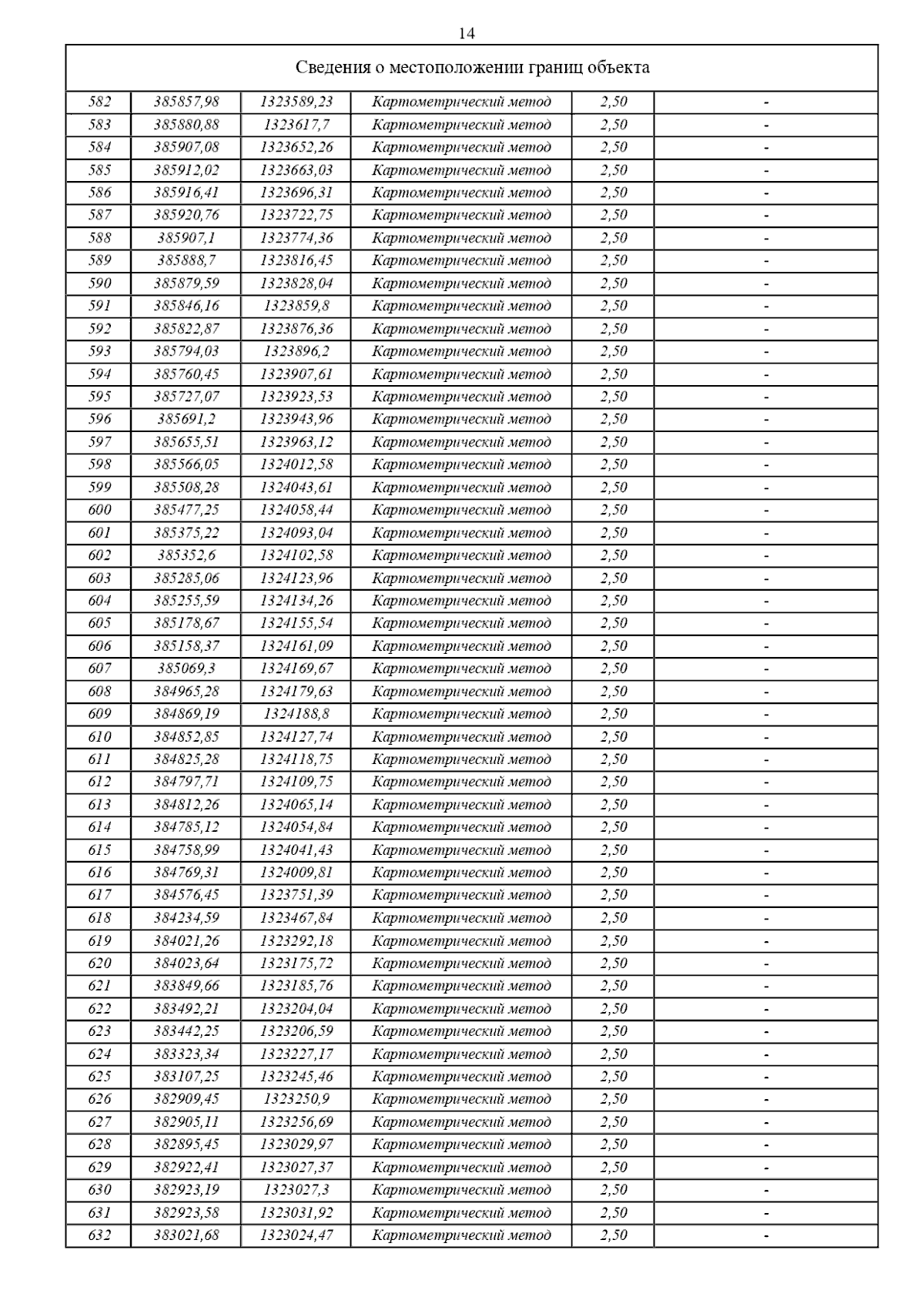
Страница №20 из 121:
Увеличить