Официальное опубликование правовых актов
ОФИЦИАЛЬНОЕ ОПУБЛИКОВАНИЕ
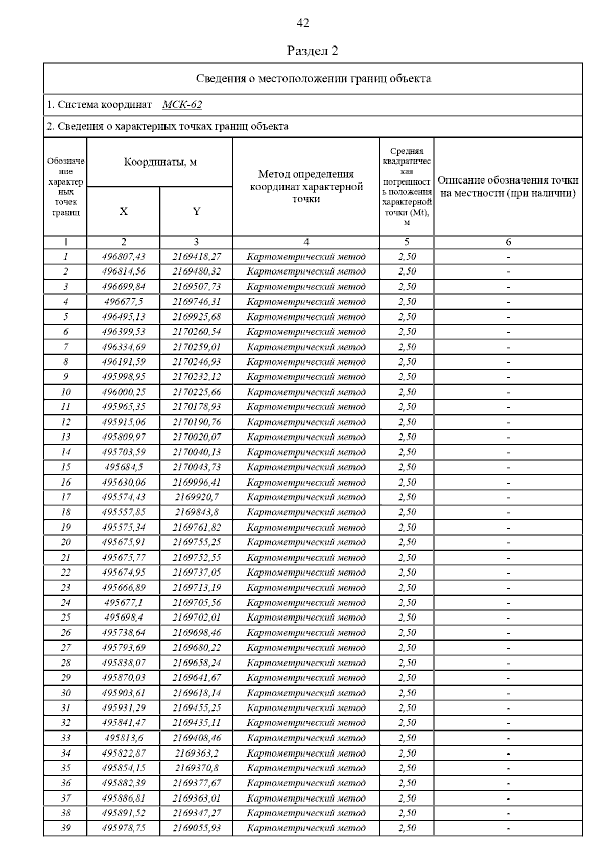
Постановление Главного управления архитектуры и градостроительства Рязанской области от 24.05.2024 № 250-п
"Об утверждении изменений в генеральный план муниципального образования – Екшурское сельское поселение Клепиковского муниципального района Рязанской области"
(Зарегистрирован 27.05.2024 № 485)
Номер опубликования: 6201202405290006
Дата опубликования: 29.05.2024
Страница №58 из 127:
Увеличить