Официальное опубликование правовых актов
ОФИЦИАЛЬНОЕ ОПУБЛИКОВАНИЕ
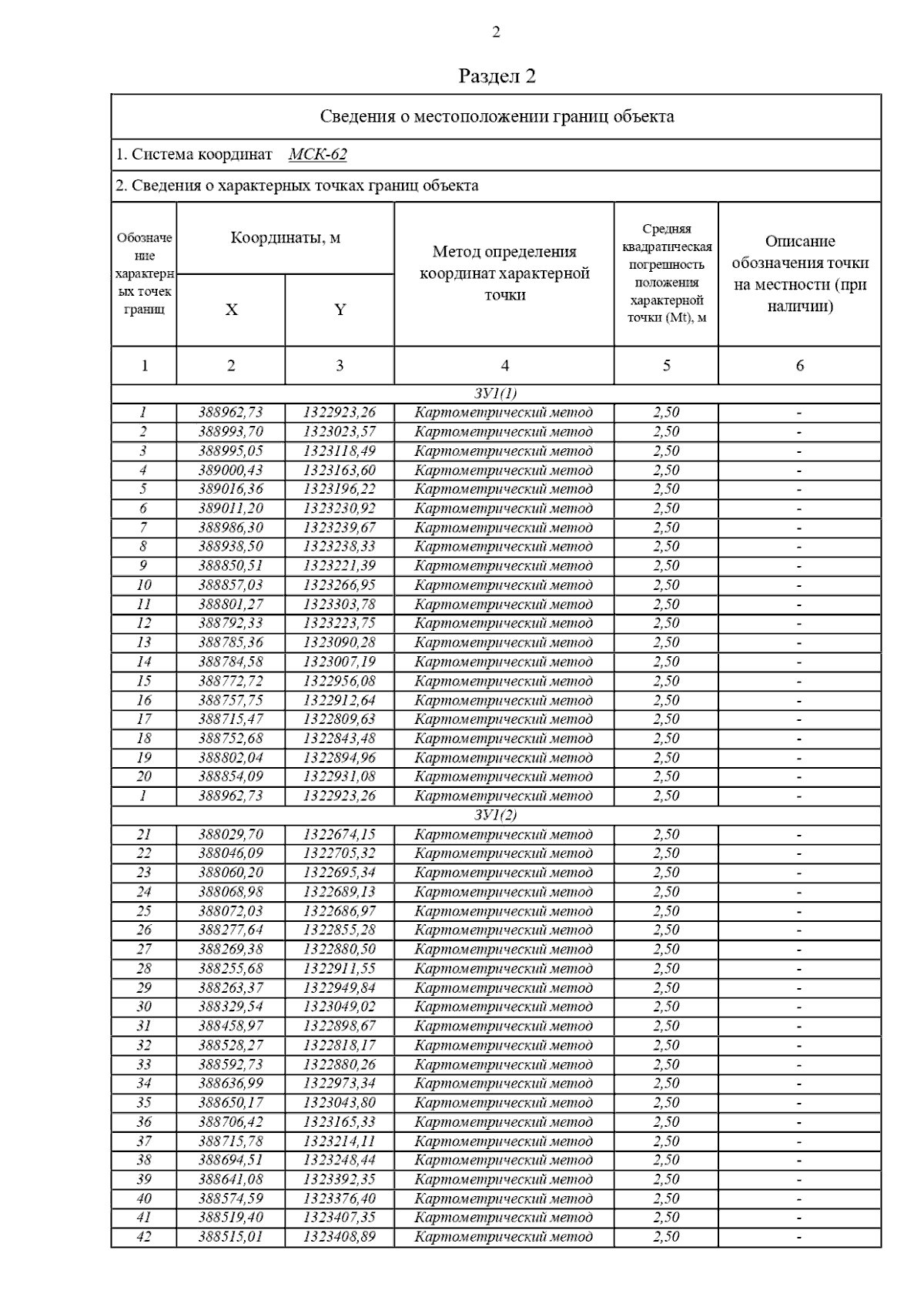
Постановление Главного управления архитектуры и градостроительства Рязанской области от 19.04.2024 № 166-п
"Об утверждении изменений в правила землепользования и застройки муниципального образования – Пронское городское поселение Пронского муниципального района Рязанской области"
(Зарегистрирован 22.04.2024 № 356)
Номер опубликования: 6201202404260014
Дата опубликования: 26.04.2024
Страница №7 из 32:
Увеличить