Официальное опубликование правовых актов
ОФИЦИАЛЬНОЕ ОПУБЛИКОВАНИЕ
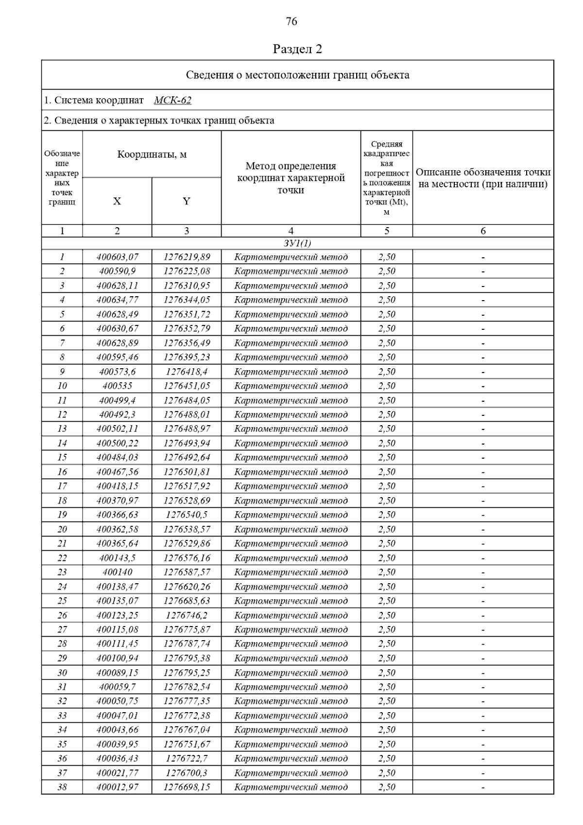
Постановление Главного управления архитектуры и градостроительства Рязанской области от 22.03.2024 № 104-п
"Об утверждении правил землепользования и застройки муниципального образования – Октябрьское городское поселение Михайловского муниципального района Рязанской области"
(Зарегистрирован 25.03.2024 № 237)
Номер опубликования: 6201202403280007
Дата опубликования: 28.03.2024
Страница №113 из 194:
Увеличить