Официальное опубликование правовых актов
ОФИЦИАЛЬНОЕ ОПУБЛИКОВАНИЕ
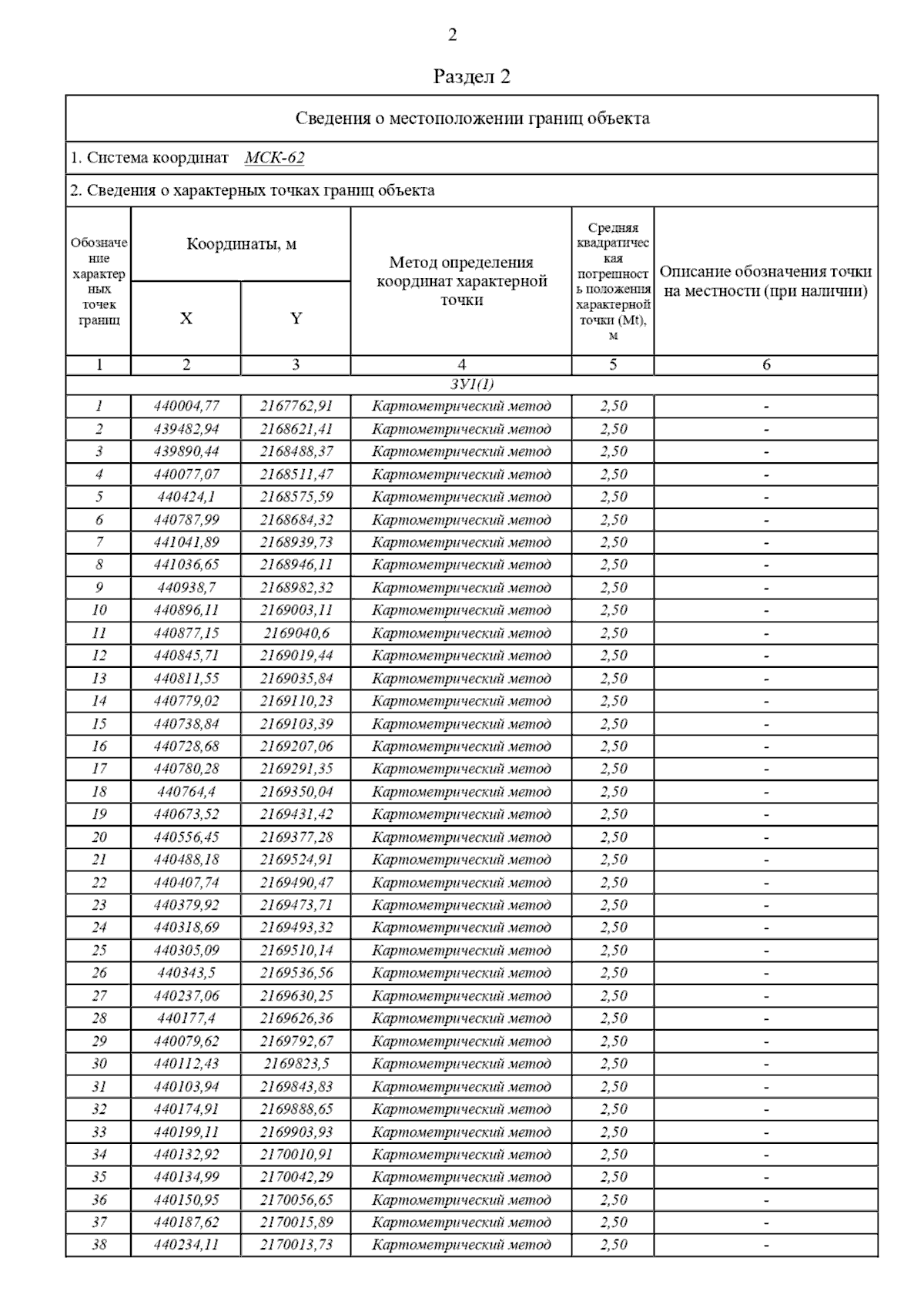
Постановление Главного управления архитектуры и градостроительства Рязанской области от 12.02.2024 № 49-п
"Об утверждении изменений в правила землепользования и застройки муниципального образования – Панинское сельское поселение Спасского муниципального района Рязанской области"
(Зарегистрирован 13.02.2024 № 113)
Номер опубликования: 6201202402190003
Дата опубликования: 19.02.2024
Страница №9 из 131:
Увеличить