Постановление Главного управления "Региональная энергетическая комиссия" Рязанской области от 14.12.2023 № 329
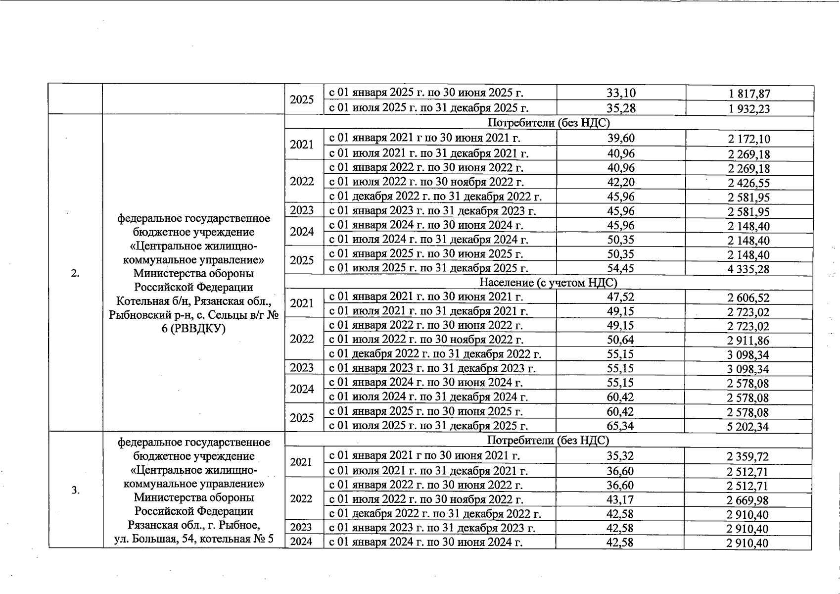
"О внесении изменений в постановление ГУ РЭК Рязанской области от 17 декабря 2020 г. № 311 "Об установлении тарифа на горячую воду для потребителей федерального государственного бюджетного учреждения "Центральное жилищно-коммунальное управление" Министерства обороны Российской Федерации на территории Рязанской области"
(Зарегистрирован 19.12.2023 № 1367)
"О внесении изменений в постановление ГУ РЭК Рязанской области от 17 декабря 2020 г. № 311 "Об установлении тарифа на горячую воду для потребителей федерального государственного бюджетного учреждения "Центральное жилищно-коммунальное управление" Министерства обороны Российской Федерации на территории Рязанской области"
(Зарегистрирован 19.12.2023 № 1367)
Номер опубликования: 6201202312220014
Дата опубликования:
22.12.2023
