Официальное опубликование правовых актов
ОФИЦИАЛЬНОЕ ОПУБЛИКОВАНИЕ
Постановление Главного управления архитектуры и градостроительства Рязанской области от 08.09.2023 № 417-п
"Об утверждении генерального плана муниципального образования – Грязновское сельское поселение Михайловского муниципального района Рязанской области"
(Зарегистрирован 11.09.2023 № 751)
Номер опубликования: 6201202309130019
Дата опубликования: 13.09.2023
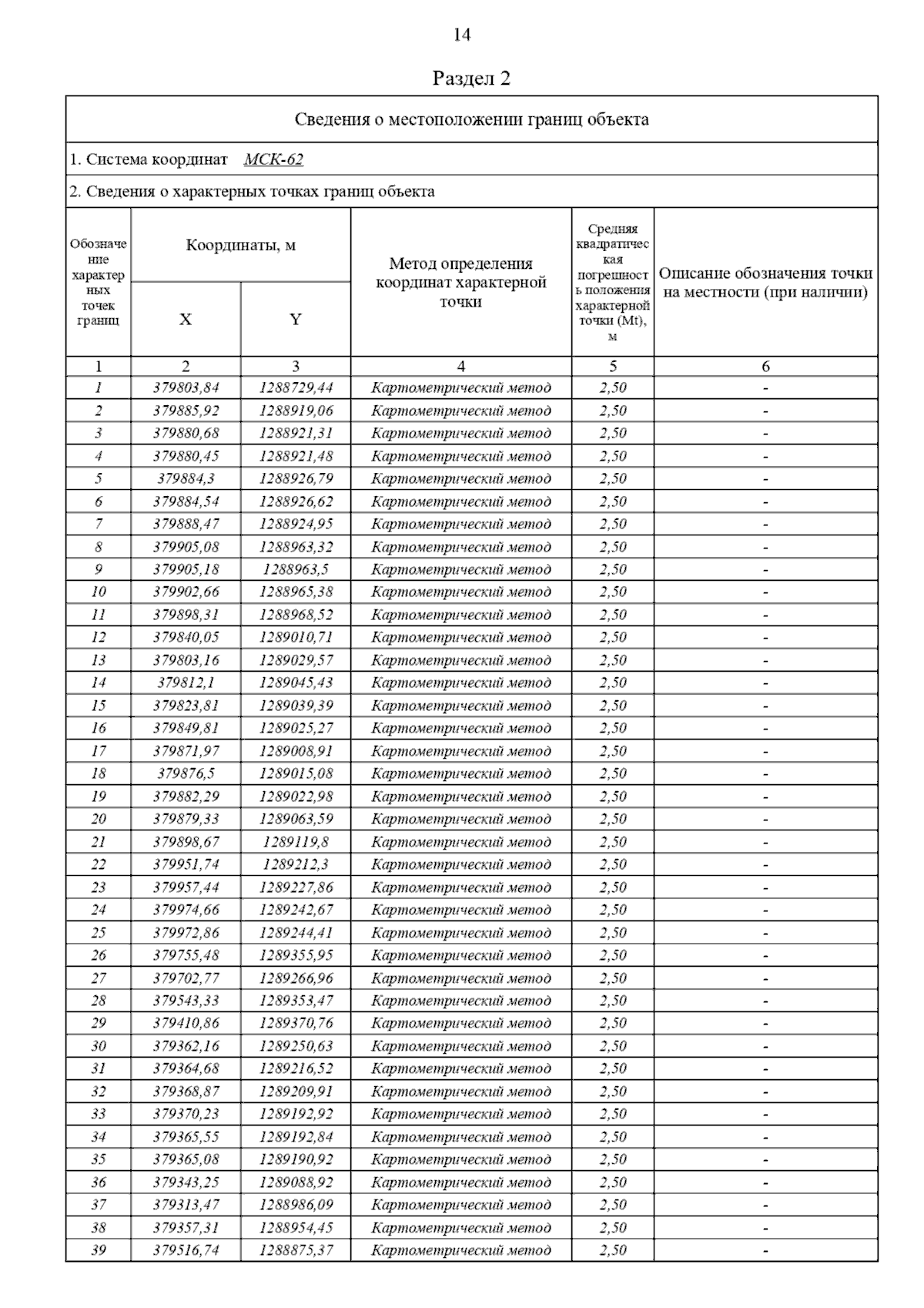
Страница №28 из 101:
Увеличить