Официальное опубликование правовых актов
ОФИЦИАЛЬНОЕ ОПУБЛИКОВАНИЕ
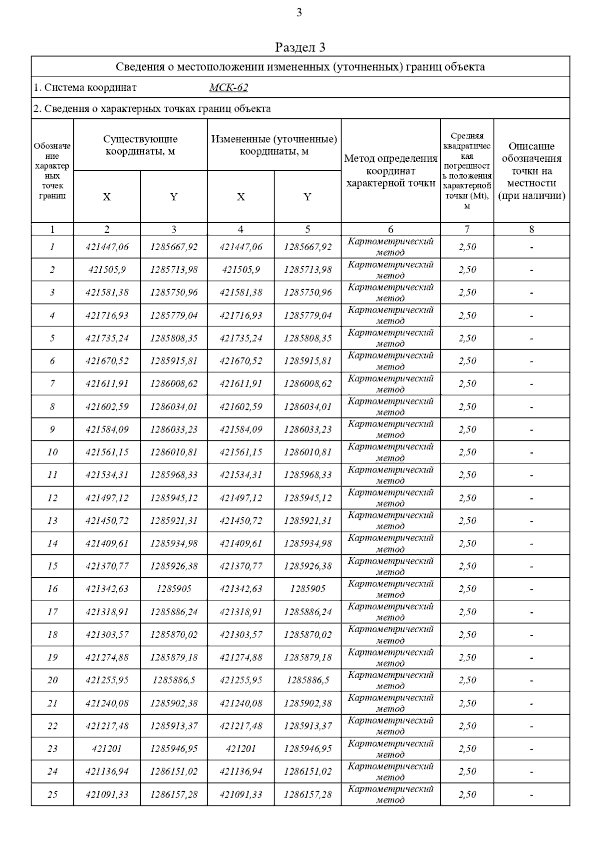
Постановление Главного управления архитектуры и градостроительства Рязанской области от 05.09.2023 № 398-п
"Об утверждении генерального плана муниципального образования – Добро-Пчельское сельское поселение Захаровского муниципального района Рязанской области"
(Зарегистрирован 05.09.2023 № 729)
Номер опубликования: 6201202309080005
Дата опубликования: 08.09.2023
Страница №14 из 46:
Увеличить