Официальное опубликование правовых актов
ОФИЦИАЛЬНОЕ ОПУБЛИКОВАНИЕ
Постановление Главного управления архитектуры и градостроительства Рязанской области от 05.09.2023 № 399-п
"Об утверждении правил землепользования и застройки муниципального образования – Добро-Пчельское сельское поселение Захаровского муниципального района Рязанской области"
(Зарегистрирован 05.09.2023 № 730)
Номер опубликования: 6201202309080004
Дата опубликования: 08.09.2023
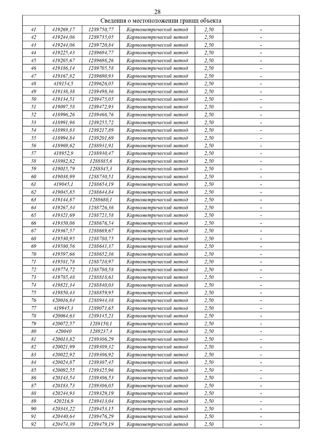
Страница №58 из 142:
Увеличить