Официальное опубликование правовых актов
ОФИЦИАЛЬНОЕ ОПУБЛИКОВАНИЕ
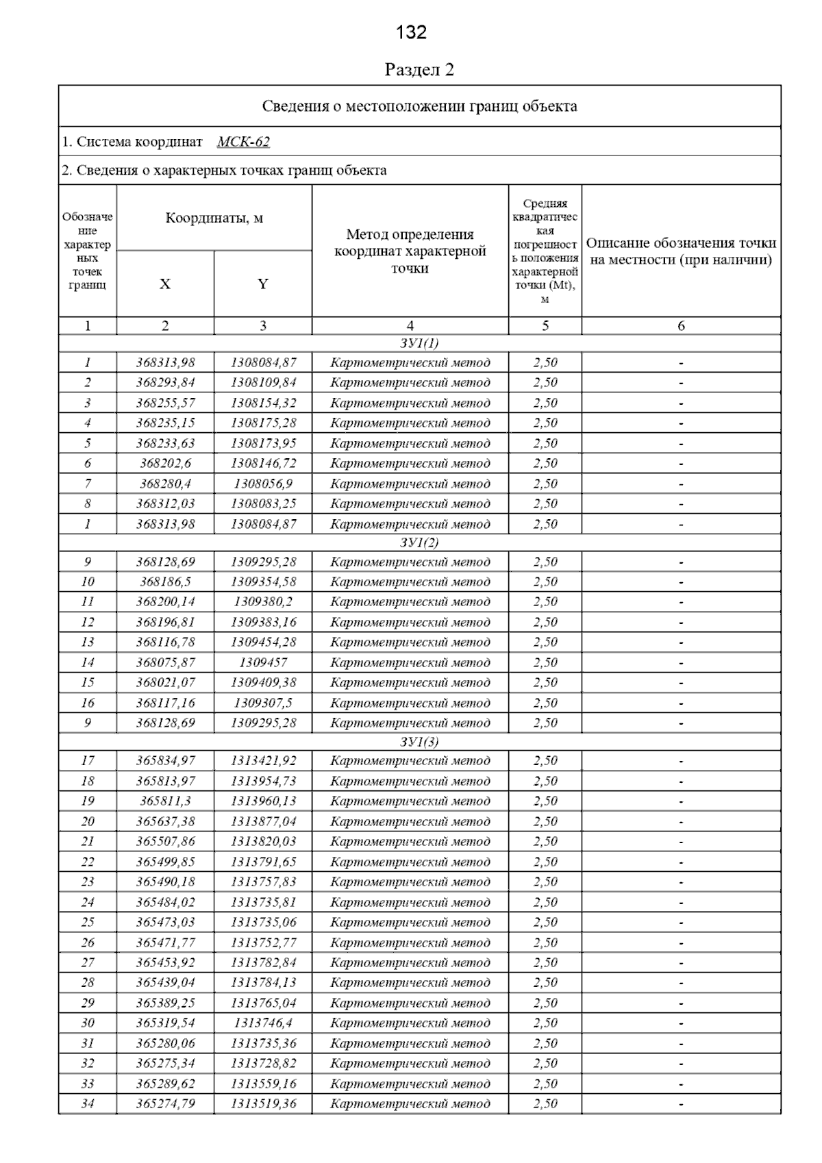
Постановление Главного управления архитектуры и градостроительства Рязанской области от 29.08.2023 № 395-п
"Об утверждении правил землепользования и застройки муниципального образования – Ильинское сельское поселение Скопинского муниципального района Рязанской области"
(Зарегистрирован 30.08.2023 № 721)
Номер опубликования: 6201202308310006
Дата опубликования: 31.08.2023
Страница №167 из 180:
Увеличить