Официальное опубликование правовых актов
ОФИЦИАЛЬНОЕ ОПУБЛИКОВАНИЕ
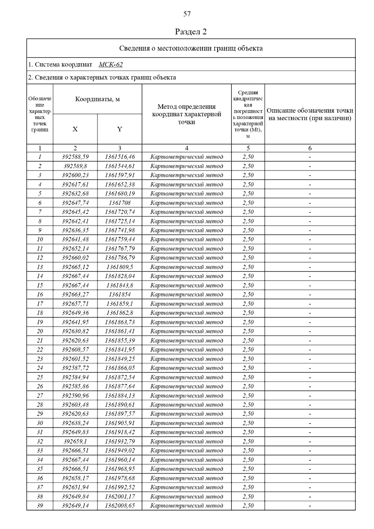
Постановление Главного управления архитектуры и градостроительства Рязанской области от 24.08.2023 № 380-п
"Об утверждении правил землепользования и застройки муниципального образования – Мелекшинское сельское поселение Старожиловского муниципального района Рязанской области"
(Зарегистрирован 25.08.2023 № 696)
Номер опубликования: 6201202308280005
Дата опубликования: 28.08.2023
Страница №89 из 280:
Увеличить