Официальное опубликование правовых актов
ОФИЦИАЛЬНОЕ ОПУБЛИКОВАНИЕ
Постановление Главного управления архитектуры и градостроительства Рязанской области от 04.07.2023 № 270-п
"Об утверждении генерального плана муниципального образования – Окское сельское поселение Рязанского муниципального района Рязанской области"
(Зарегистрирован 06.07.2023 № 519)
Номер опубликования: 6201202307110016
Дата опубликования: 11.07.2023
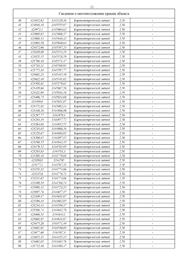
Страница №26 из 139:
Увеличить