Официальное опубликование правовых актов
ОФИЦИАЛЬНОЕ ОПУБЛИКОВАНИЕ
Постановление Главного управления архитектуры и градостроительства Рязанской области от 19.12.2022 № 775-п
"Об утверждении правил землепользования и застройки муниципального образования – Задубровское сельское поселение Шиловского муниципального района Рязанской области"
Номер опубликования: 6201202212210005
Дата опубликования: 21.12.2022
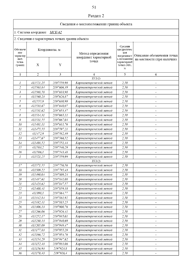
Страница №87 из 352:
Увеличить