Официальное опубликование правовых актов
ОФИЦИАЛЬНОЕ ОПУБЛИКОВАНИЕ
Постановление Главного управления архитектуры и градостроительства Рязанской области от 09.12.2022 № 759-п
"Об утверждении правил землепользования и застройки муниципального образования – Кущапинское сельское поселение Кадомского муниципального района Рязанской области"
Номер опубликования: 6201202212120020
Дата опубликования: 12.12.2022
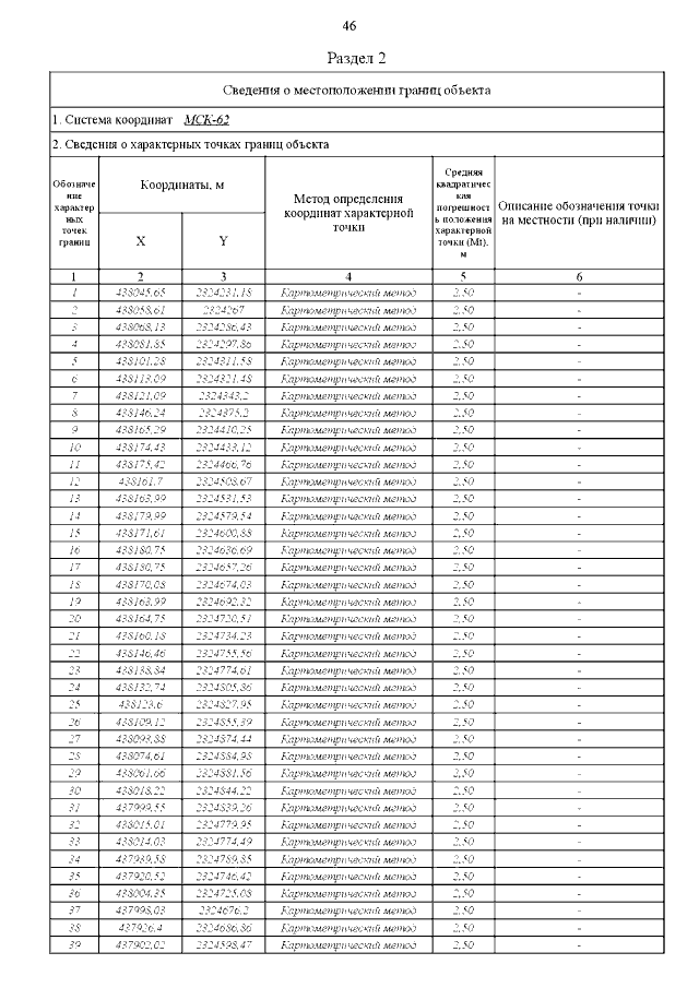
Страница №73 из 216:
Увеличить