Официальное опубликование правовых актов
ОФИЦИАЛЬНОЕ ОПУБЛИКОВАНИЕ
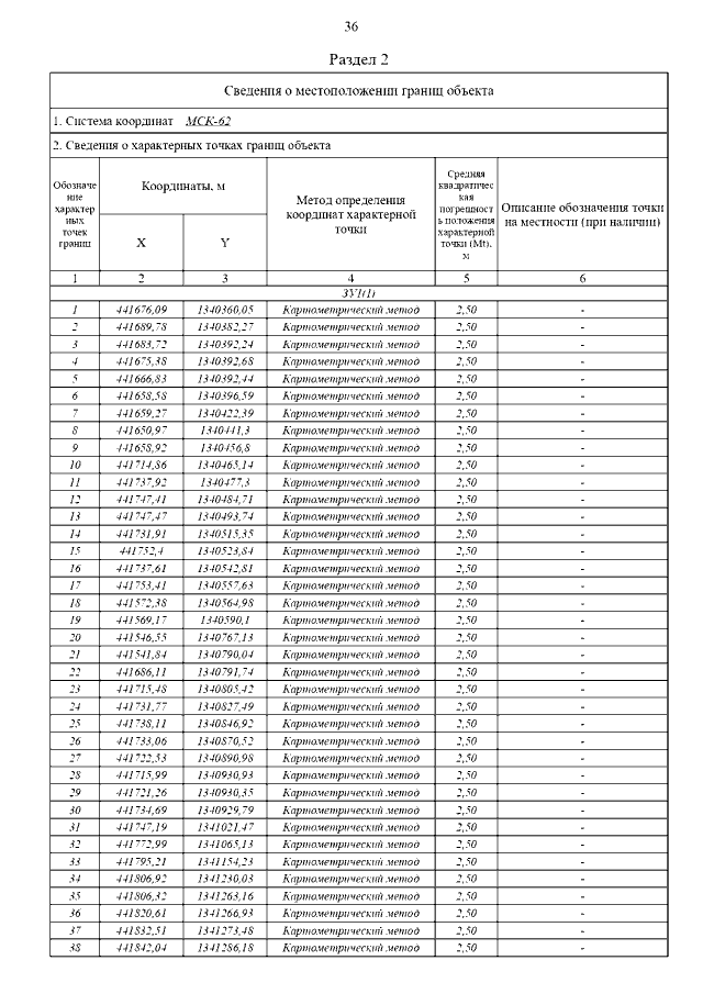
Постановление Главного управления архитектуры и градостроительства Рязанской области от 24.11.2022 № 715-п
"Об утверждении правил землепользования и застройки муниципального образования – Дядьковское сельское поселение Рязанского муниципального района Рязанской области"
Номер опубликования: 6201202211280107
Дата опубликования: 28.11.2022
Страница №77 из 236:
Увеличить