Официальное опубликование правовых актов
ОФИЦИАЛЬНОЕ ОПУБЛИКОВАНИЕ
Постановление Министерства природопользования Рязанской области от 21.10.2022 № 37
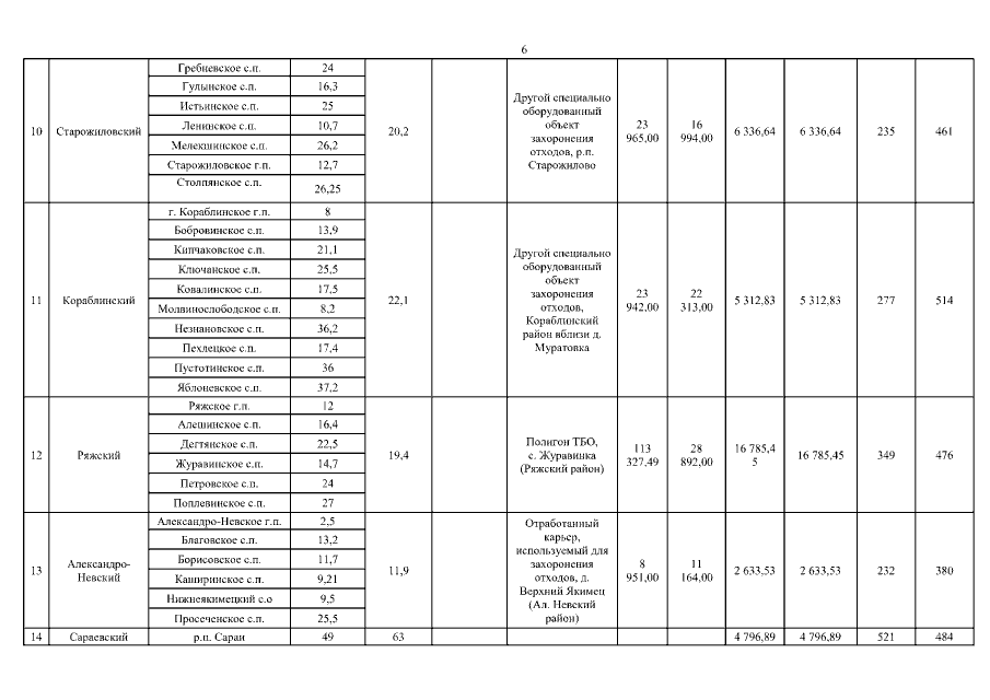
"О внесении изменений в постановление министерства природопользования Рязанской области от 15 ноября 2017 г. № 31 "Об утверждении территориальной схемы обращения с отходами, в том числе с твердыми коммунальными отходами, Рязанской области" (в редакции постановлений министерства природопользования Рязанской области от 15.07.2019 № 14, от 19.10.2020 № 26, от 06.10.2021 № 20)"
Номер опубликования: 6201202210280002
Дата опубликования: 28.10.2022
Страница №28 из 1346:
Увеличить