Официальное опубликование правовых актов
ОФИЦИАЛЬНОЕ ОПУБЛИКОВАНИЕ
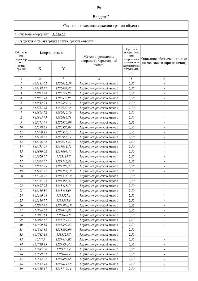
Постановление Главного управления архитектуры и градостроительства Рязанской области от 23.09.2022 № 536-п
"Об утверждении правил землепользования и застройки муниципального образования – Горловское сельское поселение Скопинского муниципального района Рязанской области"
Номер опубликования: 6201202209270001
Дата опубликования: 27.09.2022
Страница №132 из 471:
Увеличить