Официальное опубликование правовых актов
ОФИЦИАЛЬНОЕ ОПУБЛИКОВАНИЕ
Постановление Главного управления архитектуры и градостроительства Рязанской области от 24.01.2022 № 23-п
"Об утверждении генерального плана муниципального образования – Потапьевское сельское поселение Пителинского муниципального района Рязанской области"
Номер опубликования: 6201202201250001
Дата опубликования: 25.01.2022
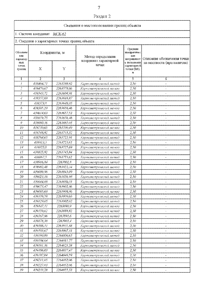
Страница №17 из 87:
Увеличить