Официальное опубликование правовых актов
ОФИЦИАЛЬНОЕ ОПУБЛИКОВАНИЕ
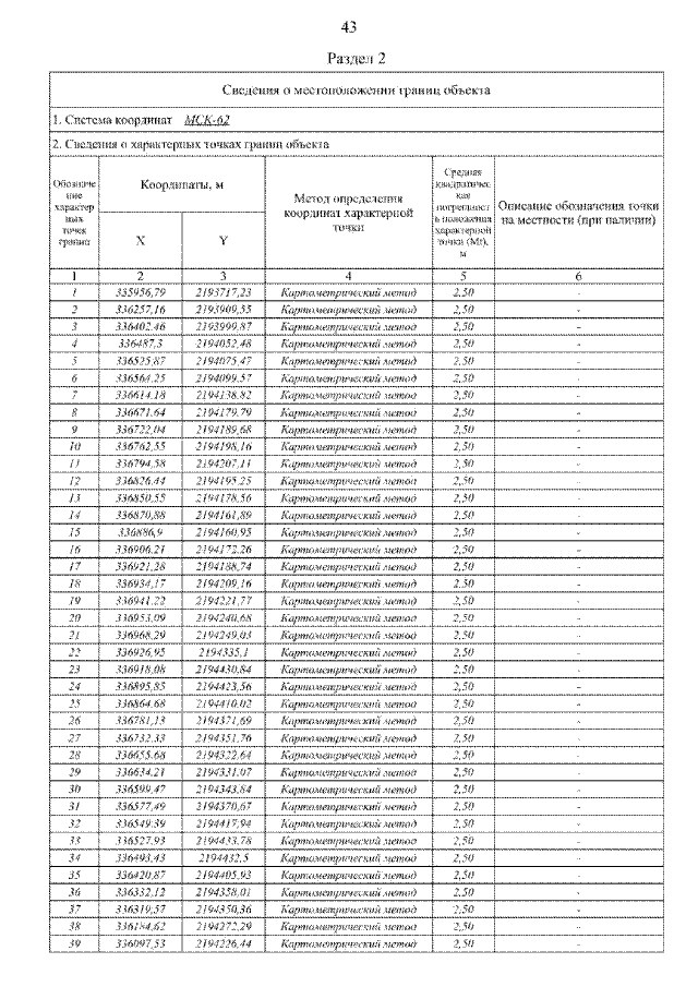
Постановление Главного управления архитектуры и градостроительства Рязанской области от 20.01.2022 № 19-п
"Об утверждении генерального плана муниципального образования – Коноплинское сельское поселение Ухоловского муниципального района Рязанской области"
Номер опубликования: 6201202201210006
Дата опубликования: 21.01.2022
Страница №53 из 66:
Увеличить