Официальное опубликование правовых актов
ОФИЦИАЛЬНОЕ ОПУБЛИКОВАНИЕ
Постановление Главного управления архитектуры и градостроительства Рязанской области от 13.01.2022 № 4-п
"Об утверждении генерального плана муниципального образования – Стрелецко-Высельское сельское поселение Михайловского муниципального района Рязанской области"
Номер опубликования: 6201202201170017
Дата опубликования: 17.01.2022
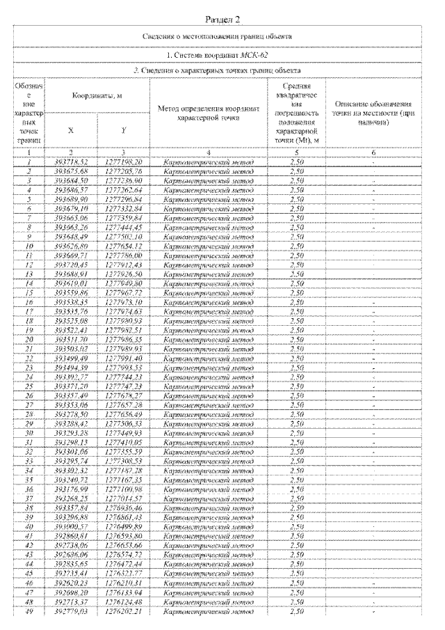
Страница №25 из 43:
Увеличить