Официальное опубликование правовых актов
ОФИЦИАЛЬНОЕ ОПУБЛИКОВАНИЕ
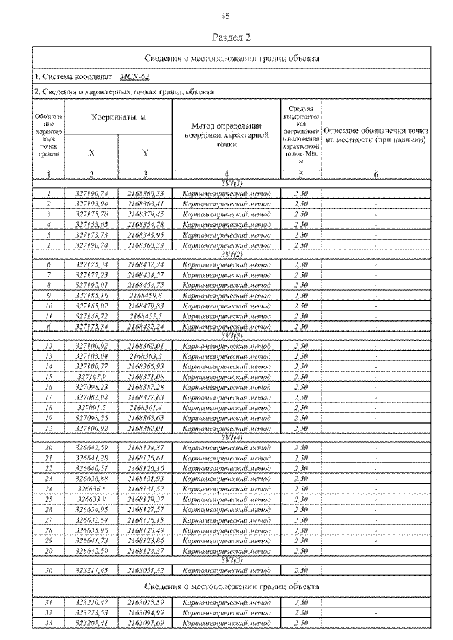
Постановление Главного управления архитектуры и градостроительства Рязанской области от 21.12.2021 № 611-п
"Об утверждении правил землепользования и застройки муниципального образования – Каширинское сельское поселение Александро-Невского муниципального района Рязанской области"
Номер опубликования: 6201202112230003
Дата опубликования: 23.12.2021
Страница №82 из 184:
Увеличить