Официальное опубликование правовых актов
ОФИЦИАЛЬНОЕ ОПУБЛИКОВАНИЕ
Постановление Главного управления архитектуры и градостроительства Рязанской области от 08.12.2021 № 572-П
"Об утверждении правил землепользования и застройки муниципального образования – Каргашинское сельское поселение Сасовского муниципального района Рязанской области"
Номер опубликования: 6201202112090019
Дата опубликования: 09.12.2021
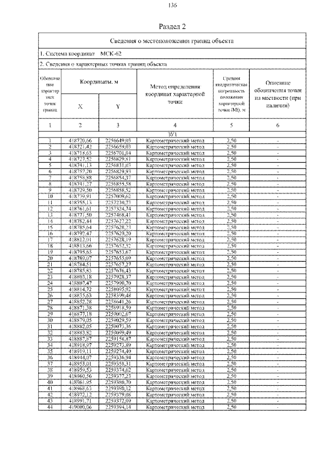
Страница №185 из 434:
Увеличить