Официальное опубликование правовых актов
ОФИЦИАЛЬНОЕ ОПУБЛИКОВАНИЕ
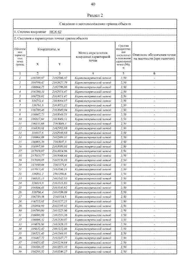
Постановление Главного управления архитектуры и градостроительства Рязанской области от 04.10.2021 № 439-п
"Об утверждении генерального плана муниципального образования –Нижнеякимецкое сельское поселение Александро-Невского муниципального района Рязанской области"
Номер опубликования: 6201202110060001
Дата опубликования: 06.10.2021
Страница №54 из 68:
Увеличить