Официальное опубликование правовых актов
ОФИЦИАЛЬНОЕ ОПУБЛИКОВАНИЕ
Постановление Главного управления архитектуры и градостроительства Рязанской области от 23.04.2021 № 169-п
"Об утверждении генерального плана муниципального образования – Береговское сельское поселение Путятинского муниципального района Рязанской области"
Номер опубликования: 6201202104280008
Дата опубликования: 28.04.2021
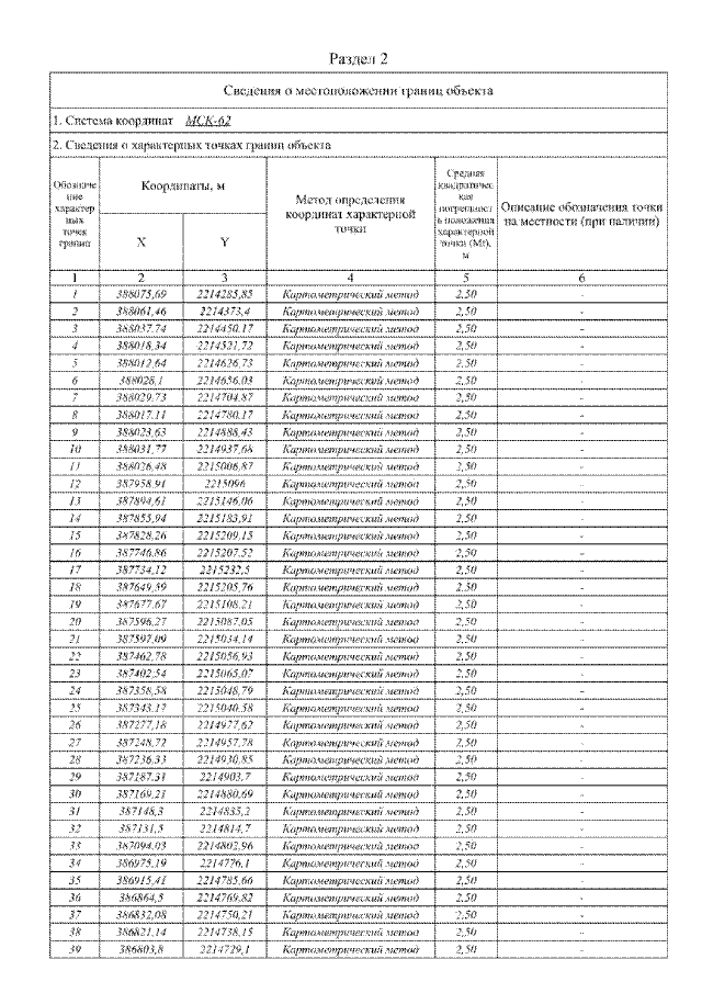
Страница №64 из 74:
Увеличить