Официальное опубликование правовых актов
ОФИЦИАЛЬНОЕ ОПУБЛИКОВАНИЕ
Постановление Главного управления архитектуры и градостроительства Рязанской области от 23.04.2021 № 170-п
"Об утверждении правил землепользования и застройки муниципального образования – Береговское сельское поселение Путятинского муниципального района Рязанской области"
Номер опубликования: 6201202104280007
Дата опубликования: 28.04.2021
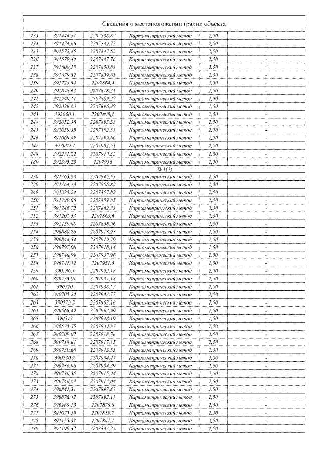
Страница №87 из 112:
Увеличить