Официальное опубликование правовых актов
ОФИЦИАЛЬНОЕ ОПУБЛИКОВАНИЕ
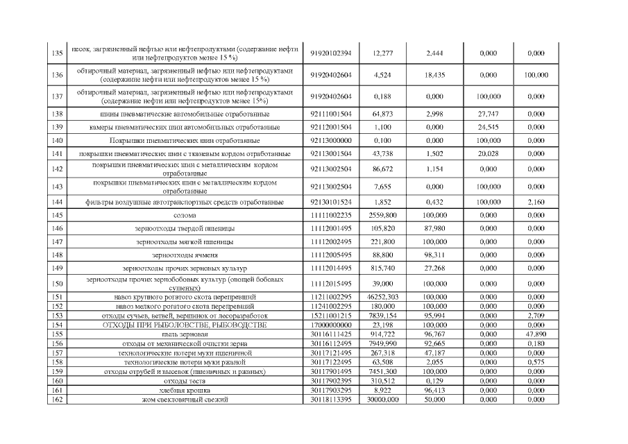
Постановление Министерства природопользования Рязанской области от 19.10.2020 № 26
"О внесении изменений в постановление министерства природопользования Рязанской области от 15 ноября 2017 г. № 31 "Об утверждении территориальной схемы обращения с отходами, в том числе с твердыми коммунальными отходами, Рязанской области" (в редакции постановления министерства природопользования Рязанской области от 15.07.2019 № 14)"
Номер опубликования: 6201202010200002
Дата опубликования: 20.10.2020
Страница №15 из 409:
Увеличить