Официальное опубликование правовых актов
ОФИЦИАЛЬНОЕ ОПУБЛИКОВАНИЕ
Постановление Главного управления архитектуры и градостроительства Рязанской области от 14.10.2020 № 659-п
"Об утверждении Генерального плана муниципального образования – Каргашинское сельское поселение Сасовского муниципального района Рязанской области"
Номер опубликования: 6201202010160001
Дата опубликования: 16.10.2020
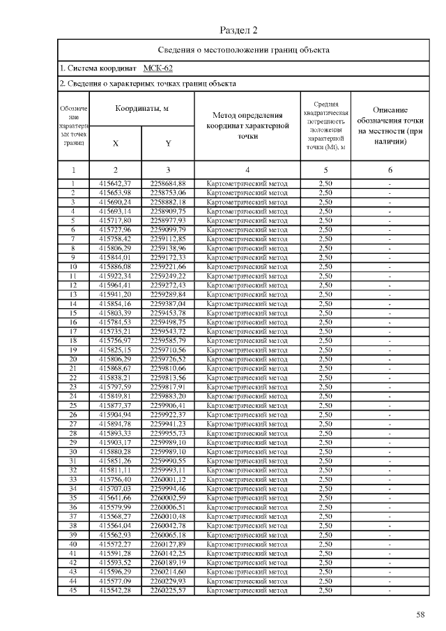
Страница №71 из 105:
Увеличить