Официальное опубликование правовых актов
ОФИЦИАЛЬНОЕ ОПУБЛИКОВАНИЕ
Постановление Главного управления архитектуры и градостроительства Рязанской области от 29.07.2020 № 403-п
"Об утверждении Генерального плана муниципального образования – Турлатовское сельское поселение Рязанского муниципального района Рязанской области"
Номер опубликования: 6201202007300003
Дата опубликования: 30.07.2020
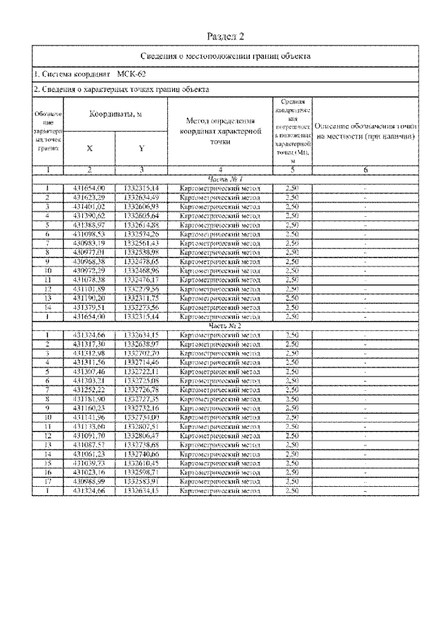
Страница №52 из 90:
Увеличить