Официальное опубликование правовых актов
ОФИЦИАЛЬНОЕ ОПУБЛИКОВАНИЕ
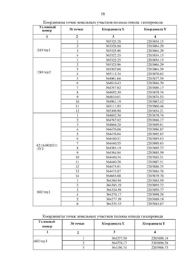
Постановление Главного управления архитектуры и градостроительства Рязанской области от 24.03.2020 № 137-п
"Об утверждении проекта планировки территории и проекта межевания территории по объекту "Газификация д. Обрезки Сапожковского района Рязанской области"
Номер опубликования: 6201202003260004
Дата опубликования: 26.03.2020
Страница №20 из 25:
Увеличить