Официальное опубликование правовых актов
ОФИЦИАЛЬНОЕ ОПУБЛИКОВАНИЕ
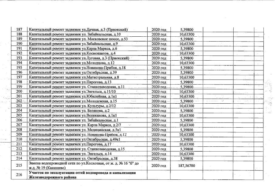
Постановление Главного управления "Региональная энергетическая комиссия" Рязанской области от 17.12.2019 № 361
"О внесении изменений в постановление ГУ РЭК Рязанской области от 11 декабря 2018 г. № 312 "Об установлении тарифов на питьевую воду в сфере холодного водоснабжения, водоотведение для потребителей гарантирующей организации МП "Водоканал города Рязани"
Номер опубликования: 6201201912200005
Дата опубликования: 20.12.2019
Страница №9 из 38:
Увеличить