Официальное опубликование правовых актов
ОФИЦИАЛЬНОЕ ОПУБЛИКОВАНИЕ
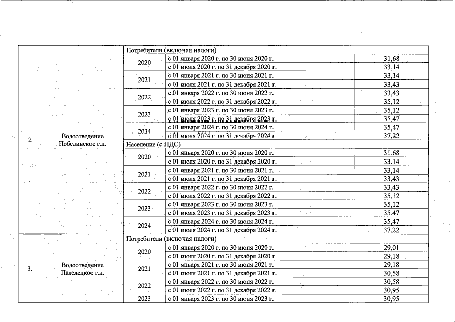
Постановление Главного управления "Региональная энергетическая комиссия" Рязанской области от 10.12.2019 № 320
"Об установлении тарифов на питьевую воду в сфере холодного водоснабжения, водоотведение для потребителей МКП "Жилсервис" муниципального образования – Скопинский муниципальный район Рязанской области"
Номер опубликования: 6201201912120003
Дата опубликования: 12.12.2019
Страница №20 из 24:
Увеличить